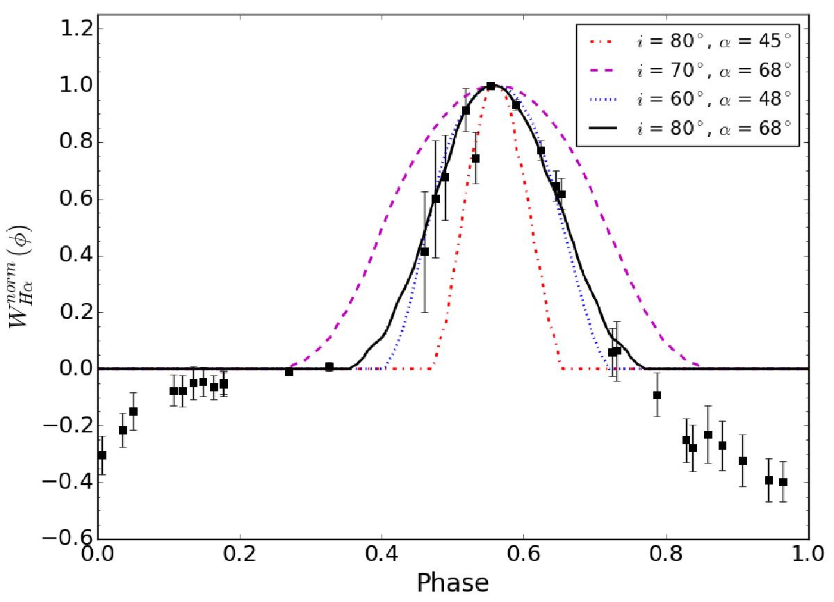
Fig. 10

Normalised equivalent width measurements for BD+46°442 of the observations taken between BJD = 2 455 790 d and BJD = 2 456 000 d. Each data point is the mean of the measurements for the three wavelength ranges, and the error bars represent one standard deviation. Model calculations (dash-dot, dotted and dashed curves) and the best-fit model (solid black curve) are overplotted.
Current usage metrics show cumulative count of Article Views (full-text article views including HTML views, PDF and ePub downloads, according to the available data) and Abstracts Views on Vision4Press platform.
Data correspond to usage on the plateform after 2015. The current usage metrics is available 48-96 hours after online publication and is updated daily on week days.
Initial download of the metrics may take a while.