Free Access
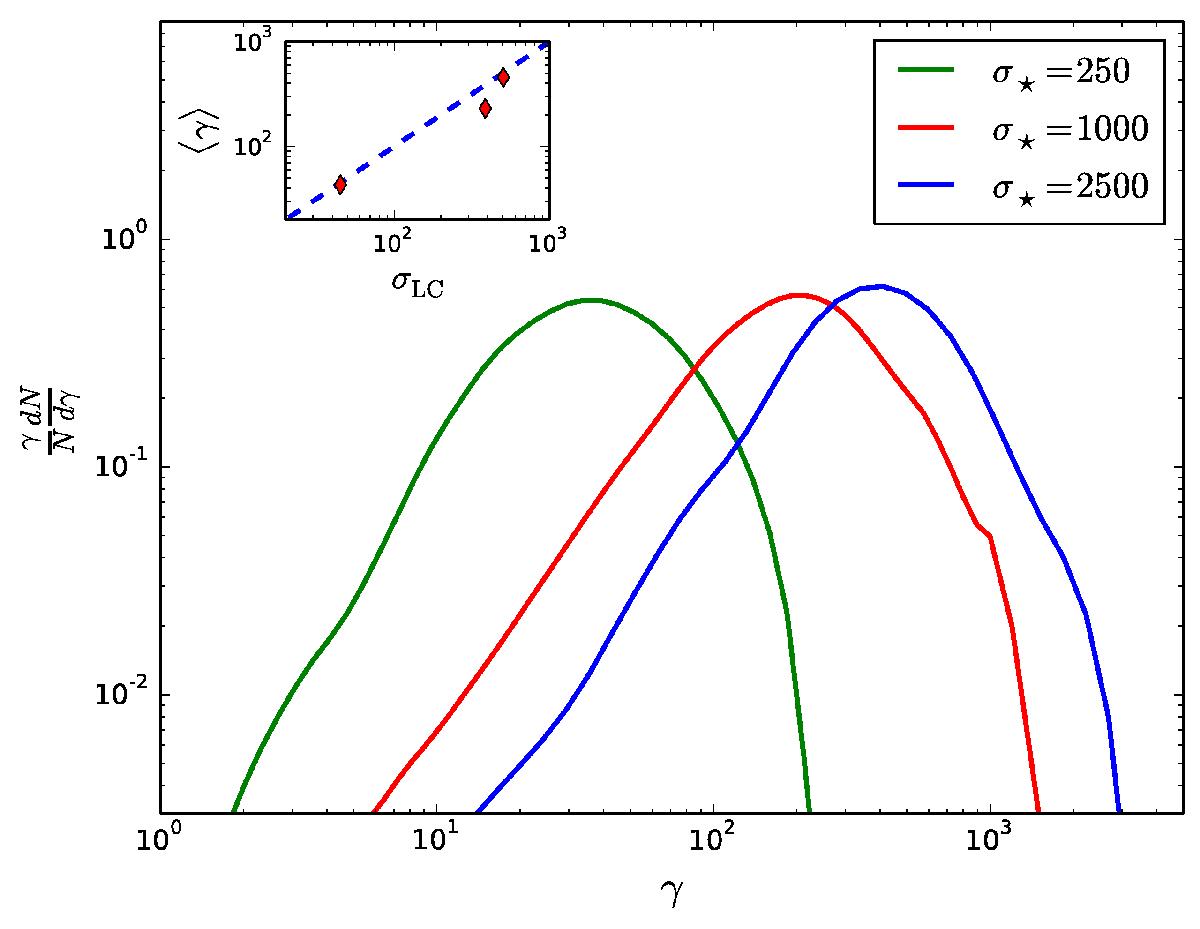
Fig. 13

Particle spectra at the outer edge of the simulation box r = 150 RLC for σ⋆ = 250 (green), 1000 (red), and 2500 (blue). The inset plot shows the mean particle Lorentz factor ⟨ γ ⟩ as function of σLC. The oblique dashed line is ⟨ γ ⟩ = σLC.
Current usage metrics show cumulative count of Article Views (full-text article views including HTML views, PDF and ePub downloads, according to the available data) and Abstracts Views on Vision4Press platform.
Data correspond to usage on the plateform after 2015. The current usage metrics is available 48-96 hours after online publication and is updated daily on week days.
Initial download of the metrics may take a while.