Highlight
Free Access

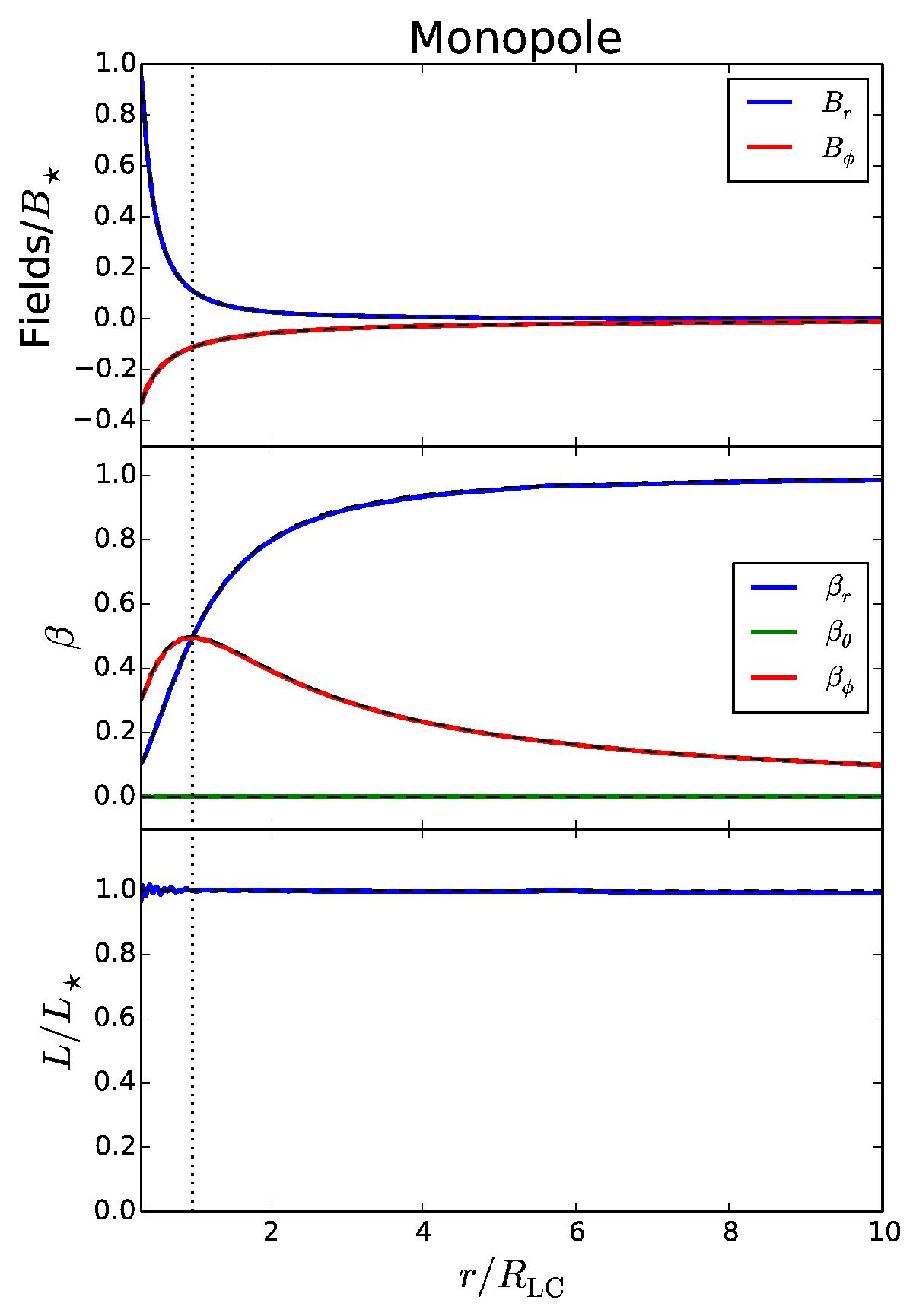
Fig. 2

image

Test simulation of a pure magnetic monopole compared with the analytical solution of Michel (1973; dashed lines). From top to bottom: non-vanishing components of the magnetic field, components of the β = E × B/B2 drift velocity, and spindown power L normalized to as a function of radius.

Current usage metrics show cumulative count of Article Views (full-text article views including HTML views, PDF and ePub downloads, according to the available data) and Abstracts Views on Vision4Press platform.

Data correspond to usage on the plateform after 2015. The current usage metrics is available 48-96 hours after online publication and is updated daily on week days.

Initial download of the metrics may take a while.