Fig. 7

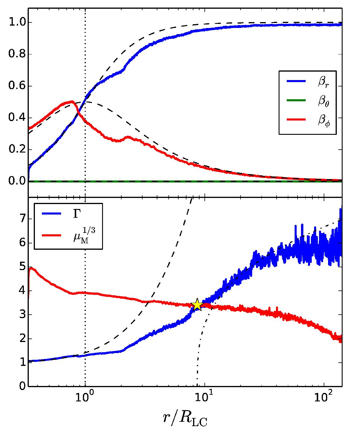
Top: radial profile of the plasma bulk velocity components V/c of the striped wind averaged in φ (solid lines) and the analytical E × B drift velocity of a pure monopole (dashed lines) at t = 25.76P in run R3_S250_K10. Bottom: corresponding φ-averaged bulk Lorentz factor of the striped wind (blue line). The wind first accelerates approximatively as (dashed line) and then grows as
(dot-dashed line) passed the fast point (yellow star) where the
(red line) and the Γ curves intersect.
Current usage metrics show cumulative count of Article Views (full-text article views including HTML views, PDF and ePub downloads, according to the available data) and Abstracts Views on Vision4Press platform.
Data correspond to usage on the plateform after 2015. The current usage metrics is available 48-96 hours after online publication and is updated daily on week days.
Initial download of the metrics may take a while.