Free Access
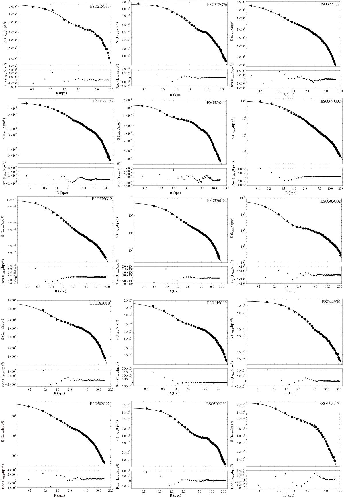
Fig. A.4

Best-fit 1D surface brightness models of the 15 HSB galaxies (upper panels) and their residuals (lower panels). The measurements are represented as larger black dots, the residuals by points, while the model predictions are shown as black continuous lines.
This figure is made of several images, please see below:
Current usage metrics show cumulative count of Article Views (full-text article views including HTML views, PDF and ePub downloads, according to the available data) and Abstracts Views on Vision4Press platform.
Data correspond to usage on the plateform after 2015. The current usage metrics is available 48-96 hours after online publication and is updated daily on week days.
Initial download of the metrics may take a while.