Free Access
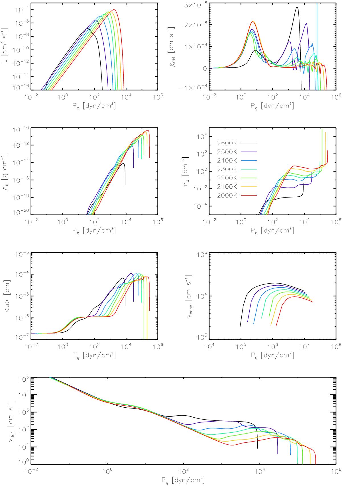
Fig. 3

Nucleation rate J∗, net growth rate χnet, mass density ρd and number density nd of the dust grains, the mean grain size ⟨ a ⟩, the convective velocity vconv, and the drift velocity vd as a function of gas pressure. Color-coding is indicated in panel 4.
Current usage metrics show cumulative count of Article Views (full-text article views including HTML views, PDF and ePub downloads, according to the available data) and Abstracts Views on Vision4Press platform.
Data correspond to usage on the plateform after 2015. The current usage metrics is available 48-96 hours after online publication and is updated daily on week days.
Initial download of the metrics may take a while.