Fig. 2

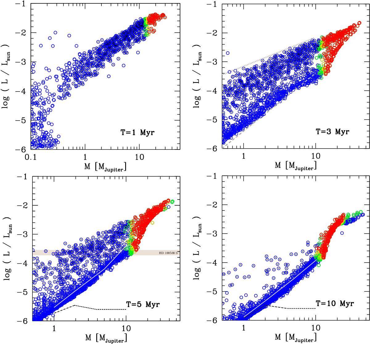
The planetary mass-luminosity relation during the formation phase for cold gas accretion (cold-nominal population). The luminosity L is the sum of the internal luminosity Lint and (for accreting planets) the accretion shock luminosity Lshock. The planets with a small black dot in the center have Lshock/Lint > 1, i.e., their luminosity is dominated by the accretion shock luminosity. Red, yellow, and green dots correspond to planets with a fractional contribution of the deuterium burning luminosity of LD/Lint of at least 0.5, 0.1, and 0.05, respectively. In the panel at 3 Myr the gray dotted (dashed) lines show the linear (quadratic) M−L relations discussed in the text. In the two bottom panels, the gray solid line shows the mass-luminosity relation in the classical hot start tracks of Burrows et al. (1997), while the black dashed line shows the classical cold start simulations of Marley et al. (2007). Despite the cold gas accretion, the synthetic planets have luminosities almost as high as in the hot start models, a consequence of the core-mass effect. At 5 Myr, the luminosity of HD 100546 b (Quanz et al. 2015) is shown.
Current usage metrics show cumulative count of Article Views (full-text article views including HTML views, PDF and ePub downloads, according to the available data) and Abstracts Views on Vision4Press platform.
Data correspond to usage on the plateform after 2015. The current usage metrics is available 48-96 hours after online publication and is updated daily on week days.
Initial download of the metrics may take a while.