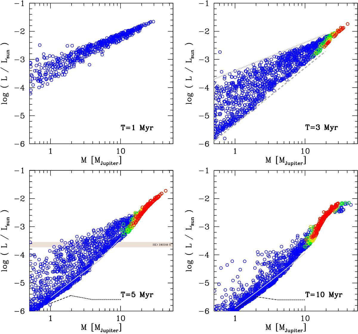
Fig. 4

The planetary mass-total luminosity relation during the formation phase for hot gas accretion, analogous to Fig. 2. The lines in the panel at 3 Myr differ from the ones in Fig. 2, while those at 5 and 10 Myr are identical. Compared to the cold-nominal population there are three differences that are particularly well visible in the panel at 3 Myr: (1) no split in an accreting and evolving sequence, (2) at a given mass, for accreting planets, the highest luminosities are lower, and (3) a temporally later beginning of D-burning. Furthermore, the luminosities of planets that are no more accreting are still more luminous in the hot population than in the cold-nominal population (which are already high because of the core-mass effect) especially for planets with masses between ~5 M♃ and the deuterium burning limit.
Current usage metrics show cumulative count of Article Views (full-text article views including HTML views, PDF and ePub downloads, according to the available data) and Abstracts Views on Vision4Press platform.
Data correspond to usage on the plateform after 2015. The current usage metrics is available 48-96 hours after online publication and is updated daily on week days.
Initial download of the metrics may take a while.