Free Access
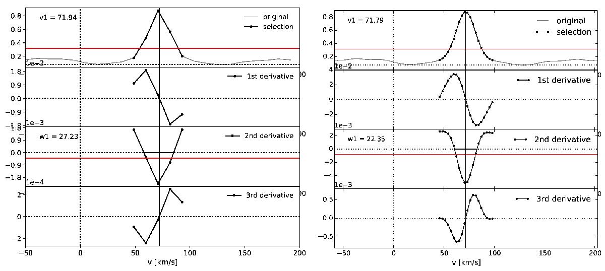
Fig. 1

Simulated CCF at limiting numerical resolution to test the computation of successive derivatives and the detection of the peak (left), and with a more realistic sampling (right). The spectrum used to simulate these CCFs has a radial velocity of 72.0 km s-1 and S/N = 5.
This figure is made of several images, please see below:
Current usage metrics show cumulative count of Article Views (full-text article views including HTML views, PDF and ePub downloads, according to the available data) and Abstracts Views on Vision4Press platform.
Data correspond to usage on the plateform after 2015. The current usage metrics is available 48-96 hours after online publication and is updated daily on week days.
Initial download of the metrics may take a while.