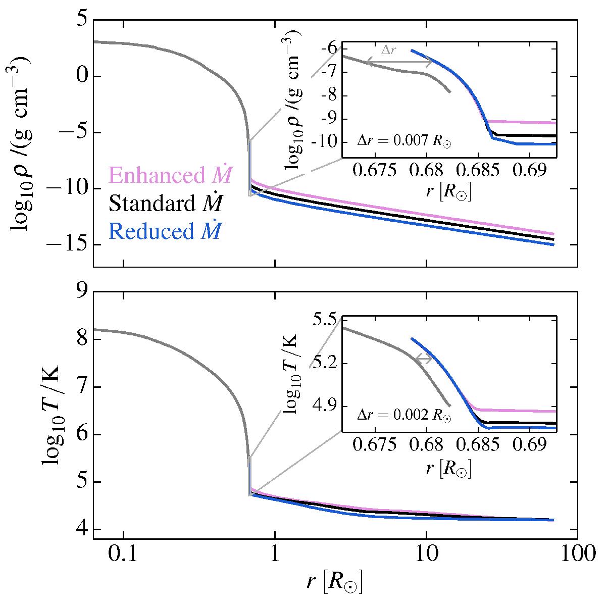
Fig. 1

Density (top) and temperature (bottom) structure of the MESA (gray) and CMFGEN (colored) models of a stripped star and its atmosphere. We show our reference model (Z = 0.0166). The different colors of the CMFGEN models correspond to the standard, reduced and enhanced wind mass loss rates. The inset provides a zoom-in, which shows that the connection is not perfect. However, as shown by the horizontal arrow, the mismatch in the radial direction is very small and translates to an error in the surface temperature that is much less than 1% (see main text), which is more than sufficient for the purposes of our study.
Current usage metrics show cumulative count of Article Views (full-text article views including HTML views, PDF and ePub downloads, according to the available data) and Abstracts Views on Vision4Press platform.
Data correspond to usage on the plateform after 2015. The current usage metrics is available 48-96 hours after online publication and is updated daily on week days.
Initial download of the metrics may take a while.