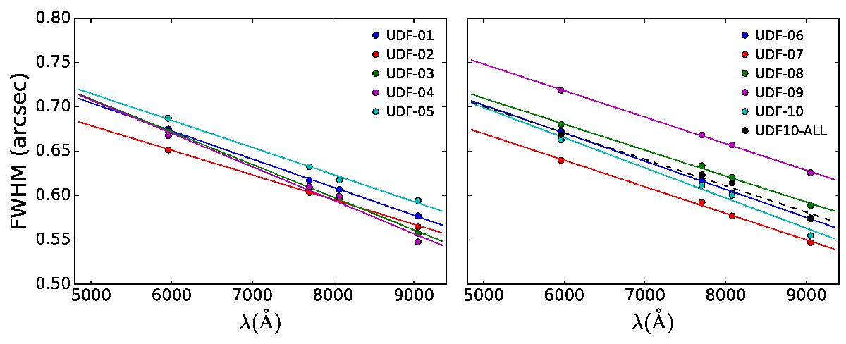
Fig. 14

FSF Fitting results for all mosaic and udf-10 fields. For each field, 4 fit MOFFAT FWHMs corresponding to 4 HST filters (F606W, F775W, F814W, F850LP) are displayed, together with the linear fit. The UDF10-ALL is for the combined depth of the udf-10 field and its associated mosaic fields (1, 2 ,4 and 5).
Current usage metrics show cumulative count of Article Views (full-text article views including HTML views, PDF and ePub downloads, according to the available data) and Abstracts Views on Vision4Press platform.
Data correspond to usage on the plateform after 2015. The current usage metrics is available 48-96 hours after online publication and is updated daily on week days.
Initial download of the metrics may take a while.