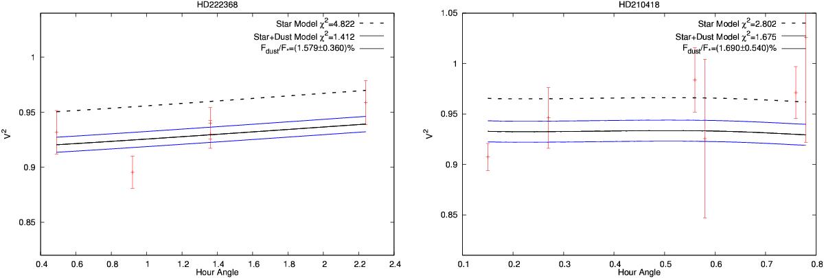
Fig. 6

Squared visibility as a function of hour angle for the E1-E2 (65 m) baseline. For these excess star candidates, there is a clear discrepancy between the data and the photosphere model. For both stars the detection significance is above 3σ with an acceptable reduced . However, most of the detection significance of HD 210418 is due to a single data point, so more data are needed to confirm this excess.
Current usage metrics show cumulative count of Article Views (full-text article views including HTML views, PDF and ePub downloads, according to the available data) and Abstracts Views on Vision4Press platform.
Data correspond to usage on the plateform after 2015. The current usage metrics is available 48-96 hours after online publication and is updated daily on week days.
Initial download of the metrics may take a while.