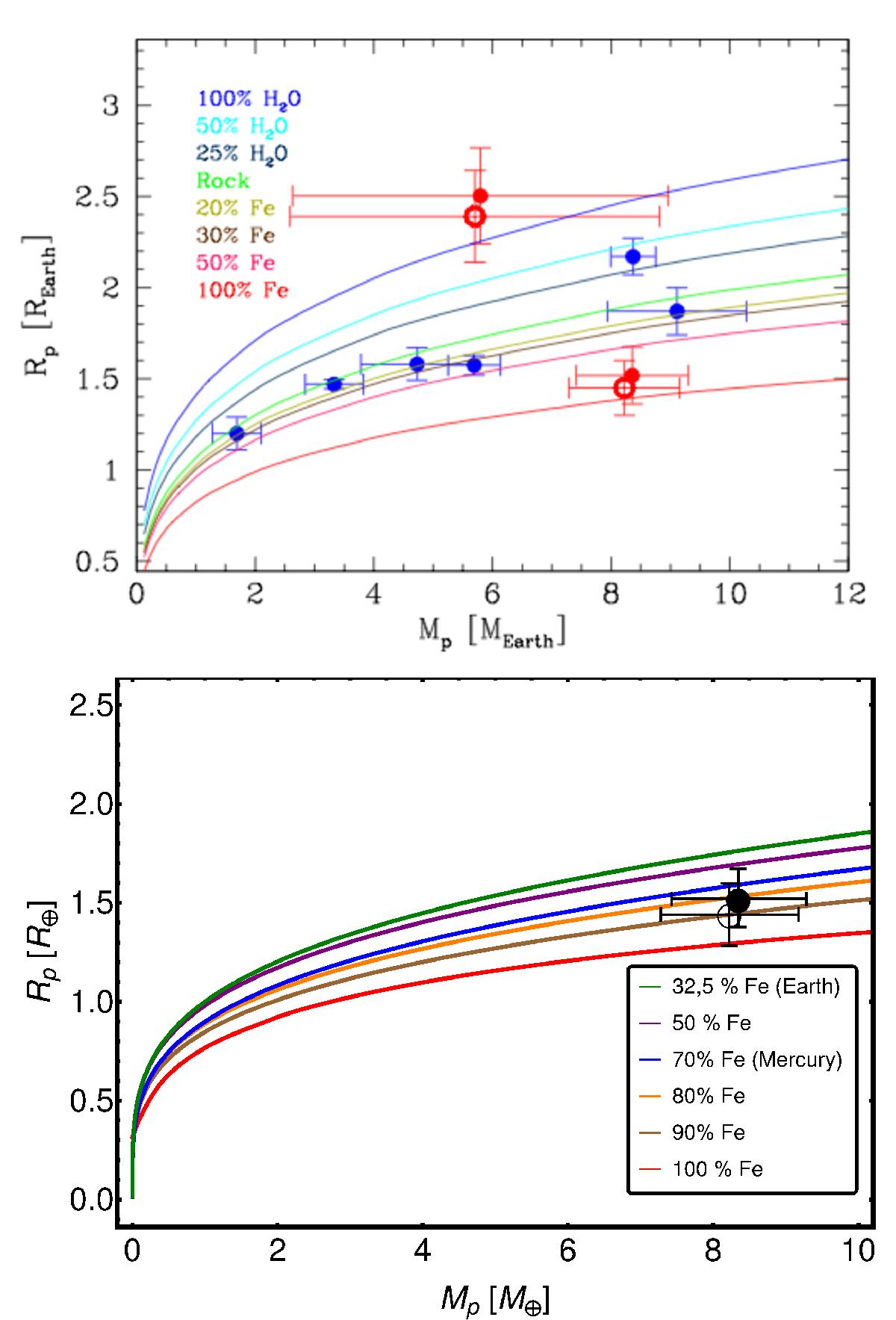
Fig. 8

Upper panel: mass-radius relation for low-mass ultra-short planets. K2-106 b, c are the red filled symbols obtained using the stellar parameters derived by us. The open red symbol shows the same, but for the parameters given by Adams et al. (2017). The blue symbols are all other known ultra-short period planets. Lower panel: detailed position of K2-106 b, c using models calculated by us. The iron core contains about 80% of the mass of the planet.
Current usage metrics show cumulative count of Article Views (full-text article views including HTML views, PDF and ePub downloads, according to the available data) and Abstracts Views on Vision4Press platform.
Data correspond to usage on the plateform after 2015. The current usage metrics is available 48-96 hours after online publication and is updated daily on week days.
Initial download of the metrics may take a while.