Free Access
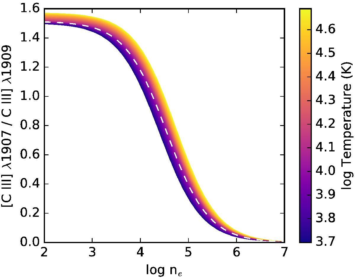
Fig. 5

Ratio of [C III] λ1907 to C III] λ1909 as a function of temperature and electron density, calculated via PyNeb (Luridiana et al. 2015). As noted in the text, the density derived from a fixed ratio is nearly independent of temperature; throughout we assume a temperature of 10 000 K (denoted by the dashed line).
Current usage metrics show cumulative count of Article Views (full-text article views including HTML views, PDF and ePub downloads, according to the available data) and Abstracts Views on Vision4Press platform.
Data correspond to usage on the plateform after 2015. The current usage metrics is available 48-96 hours after online publication and is updated daily on week days.
Initial download of the metrics may take a while.