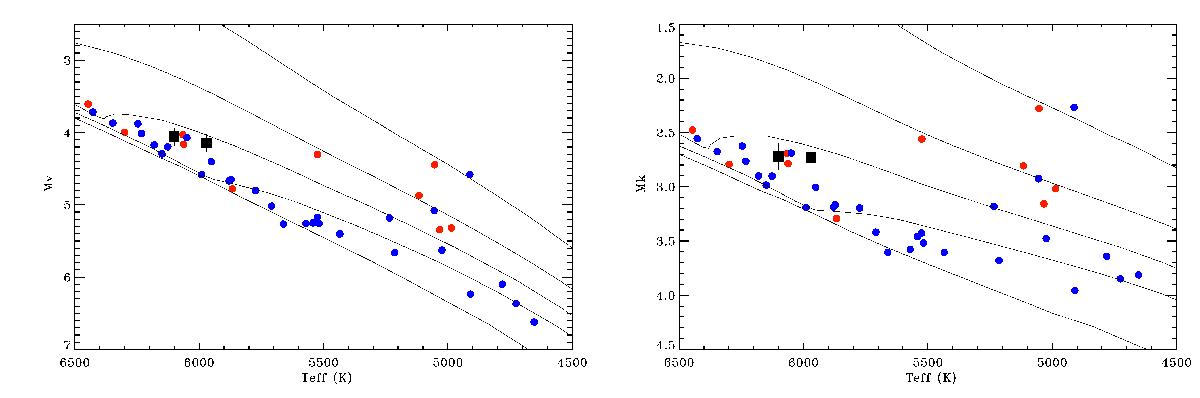
Fig. 4

Position of HD 284149 (black squares) on the H-R diagram for the temperatures corresponding to F8 and G1 spectral classification (see Bonavita et al. 2014), for V and Ks band magnitudes (left and right panels, respectively). Over plotted are the 5, 12, 20, 30, and 70 Myr isochrones of solar metallicity from Bressan et al. (2012) and the members of the β Pic moving group (red circles) and Tuc-Hor association (blue circles) with available trigonometric parallax from the list of Pecaut & Mamajek (2013).
Current usage metrics show cumulative count of Article Views (full-text article views including HTML views, PDF and ePub downloads, according to the available data) and Abstracts Views on Vision4Press platform.
Data correspond to usage on the plateform after 2015. The current usage metrics is available 48-96 hours after online publication and is updated daily on week days.
Initial download of the metrics may take a while.