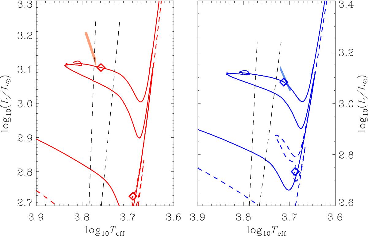
Fig. 11

As Fig. 10, but with evolutionary tracks of standard (dashed) and overshooting (full) models for CEP-0227. The tracks are for the mean mass of the primary and upper mass limit for the secondary component. Standard and overshooting models are indicated at 138 and 157 Myr, respectively. The black dashed lines indicate the Cepheid instability strip according to Valle et al. (2009).
Current usage metrics show cumulative count of Article Views (full-text article views including HTML views, PDF and ePub downloads, according to the available data) and Abstracts Views on Vision4Press platform.
Data correspond to usage on the plateform after 2015. The current usage metrics is available 48-96 hours after online publication and is updated daily on week days.
Initial download of the metrics may take a while.