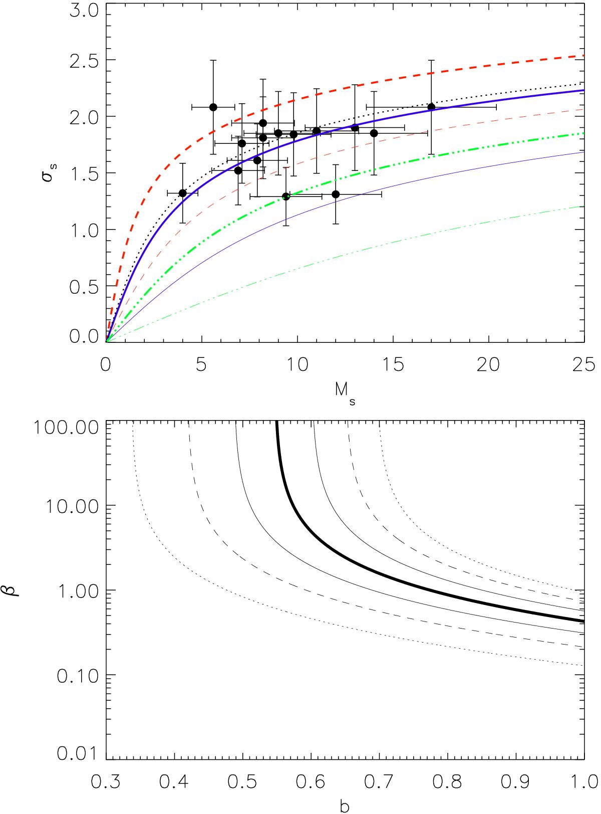
Fig. 1

Top: relationship between the density distribution width, σs, and sonic Mach number, ℳs. The red dashed curves show the case β = ∞, the blue curves β = 0.3, and green dash-dotted curves β = 0.05. The thicker (and higher) curves correspond to b = 1 and the thinner (and lower) curves to b = 1/3. The dotted line shows the best-fitting model with b2β/ (1 + β) = 0.30 ± 0.06. Bottom: the relationship between the magnetic field strength, β, and the compression parameter, b, for the model that best fits all data points. The thin solid, dashed, and dotted lines show the 1, 2, and 3σ confidence levels.
Current usage metrics show cumulative count of Article Views (full-text article views including HTML views, PDF and ePub downloads, according to the available data) and Abstracts Views on Vision4Press platform.
Data correspond to usage on the plateform after 2015. The current usage metrics is available 48-96 hours after online publication and is updated daily on week days.
Initial download of the metrics may take a while.