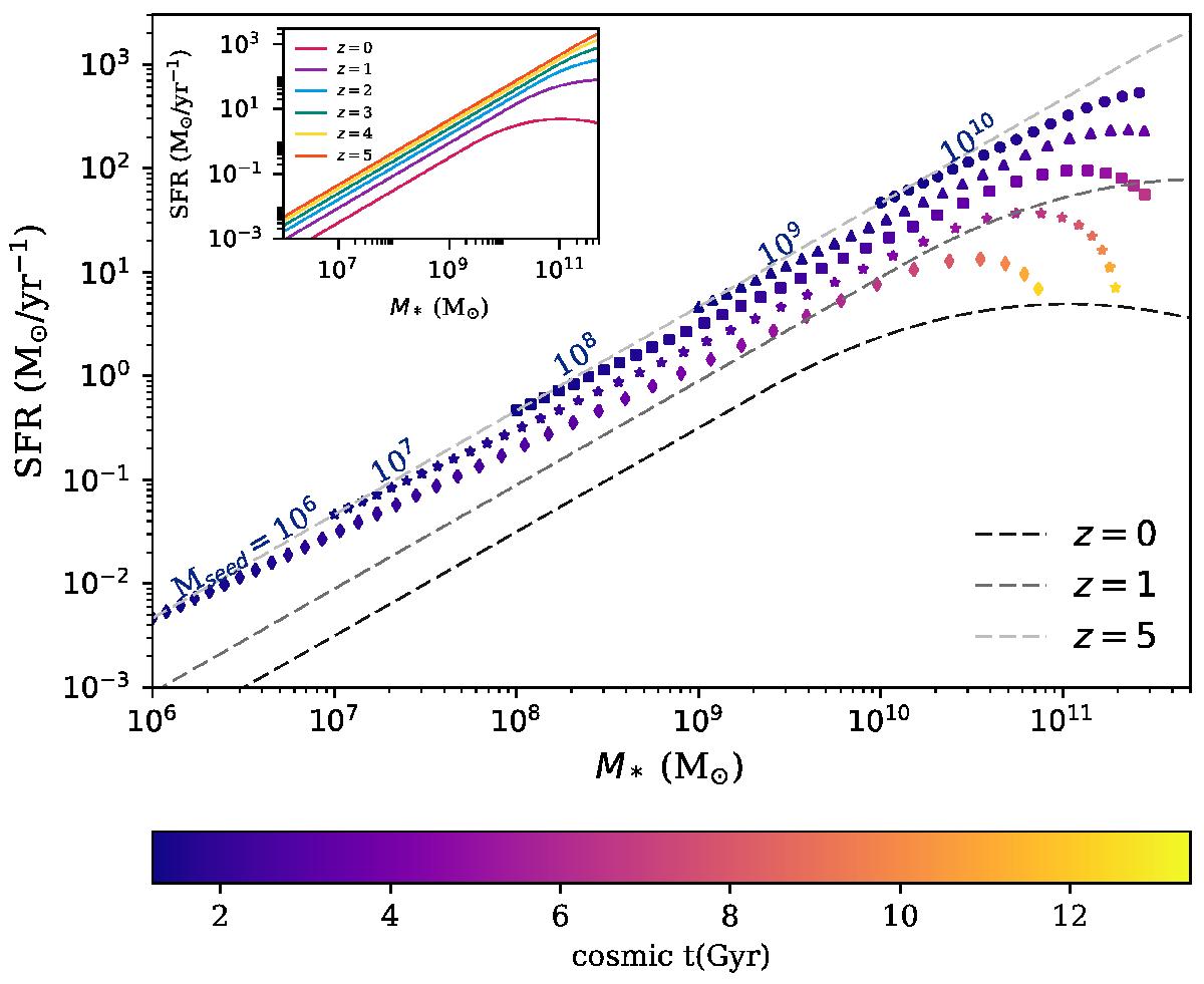
Fig. 1

Evolution of the simulated galaxies following the main sequence from z = 5 to z = 0.3 on the SFR-M∗ diagram, color coded with cosmic time. The different symbols correspond to different mass seeds: 106 (diamonds), 107 (stars), 108 (squares), 109 (triangles), and 1010M⊙ (circles). The dashed lines indicates the MS at redshift 0 (black), 1 (gray), and 5 (light gray). The insert panel shows the MS relations from z = 5 to z = 0 on which the evolution of MS galaxies is computed.
Current usage metrics show cumulative count of Article Views (full-text article views including HTML views, PDF and ePub downloads, according to the available data) and Abstracts Views on Vision4Press platform.
Data correspond to usage on the plateform after 2015. The current usage metrics is available 48-96 hours after online publication and is updated daily on week days.
Initial download of the metrics may take a while.