Free Access
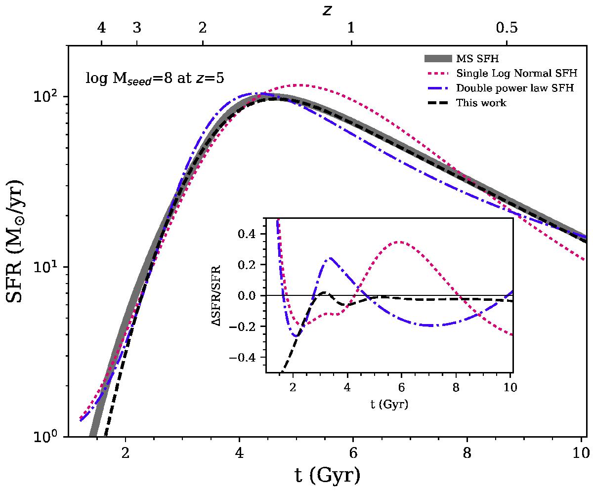
Fig. 5

Fit of the MS SFH assuming a seed mass of 108M⊙ at z = 5, using different analytical functions proposed in the literature: log-normal (red), double power law (blue), and the parametrization based on a right skew peak function proposed in this work (black). The residual of each fit is shown in the insert panel.
Current usage metrics show cumulative count of Article Views (full-text article views including HTML views, PDF and ePub downloads, according to the available data) and Abstracts Views on Vision4Press platform.
Data correspond to usage on the plateform after 2015. The current usage metrics is available 48-96 hours after online publication and is updated daily on week days.
Initial download of the metrics may take a while.