Free Access
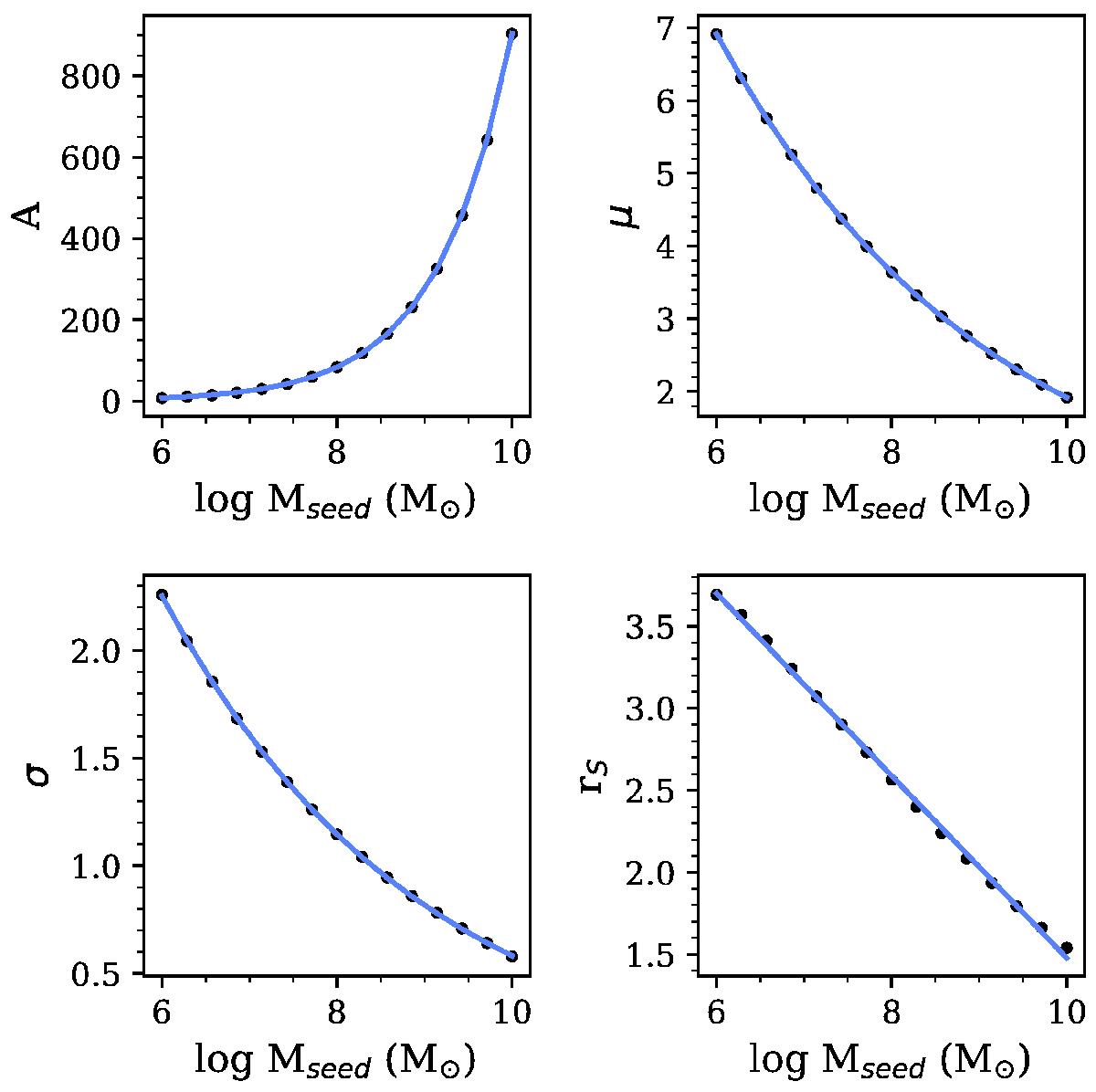
Fig. 6

Dependency of the Gaussian and exponential parameters obtained from the best fits of a set of SFHs, as a function of the seed mass. Black dots are the best values at each seed mass and the red curve shows the relation between the parameters and the seed mass.
Current usage metrics show cumulative count of Article Views (full-text article views including HTML views, PDF and ePub downloads, according to the available data) and Abstracts Views on Vision4Press platform.
Data correspond to usage on the plateform after 2015. The current usage metrics is available 48-96 hours after online publication and is updated daily on week days.
Initial download of the metrics may take a while.