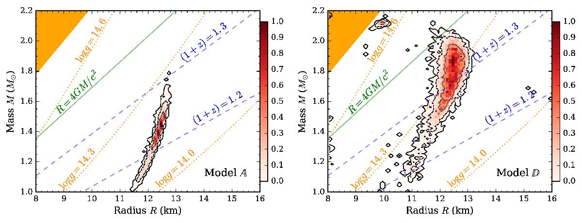
Fig. 11

Mass and radius posteriors for 4U 1702−429. The left panel shows the results for model A, which has fixed Sf = 1 and X = 0. The right panel shows the results for model D, which has free X and fixed Sf = 1. The symbols and legends are the same as in Fig. 4. We recall that for our synthetic data fits (shown in Fig. 6), model A underestimates the mass slightly. For X ≠ 0 the correct mass is obtained using model D. This suggests that the true mass of 4U 1702−429 is in the range M = 1.4−2.0 M⊙. Models A and D are both capable of recovering the radius used to construct the synthetic data, which suggests that the radius of 4U 1702−429 is R = 12.0−12.9 km at 68% credibility.
Current usage metrics show cumulative count of Article Views (full-text article views including HTML views, PDF and ePub downloads, according to the available data) and Abstracts Views on Vision4Press platform.
Data correspond to usage on the plateform after 2015. The current usage metrics is available 48-96 hours after online publication and is updated daily on week days.
Initial download of the metrics may take a while.