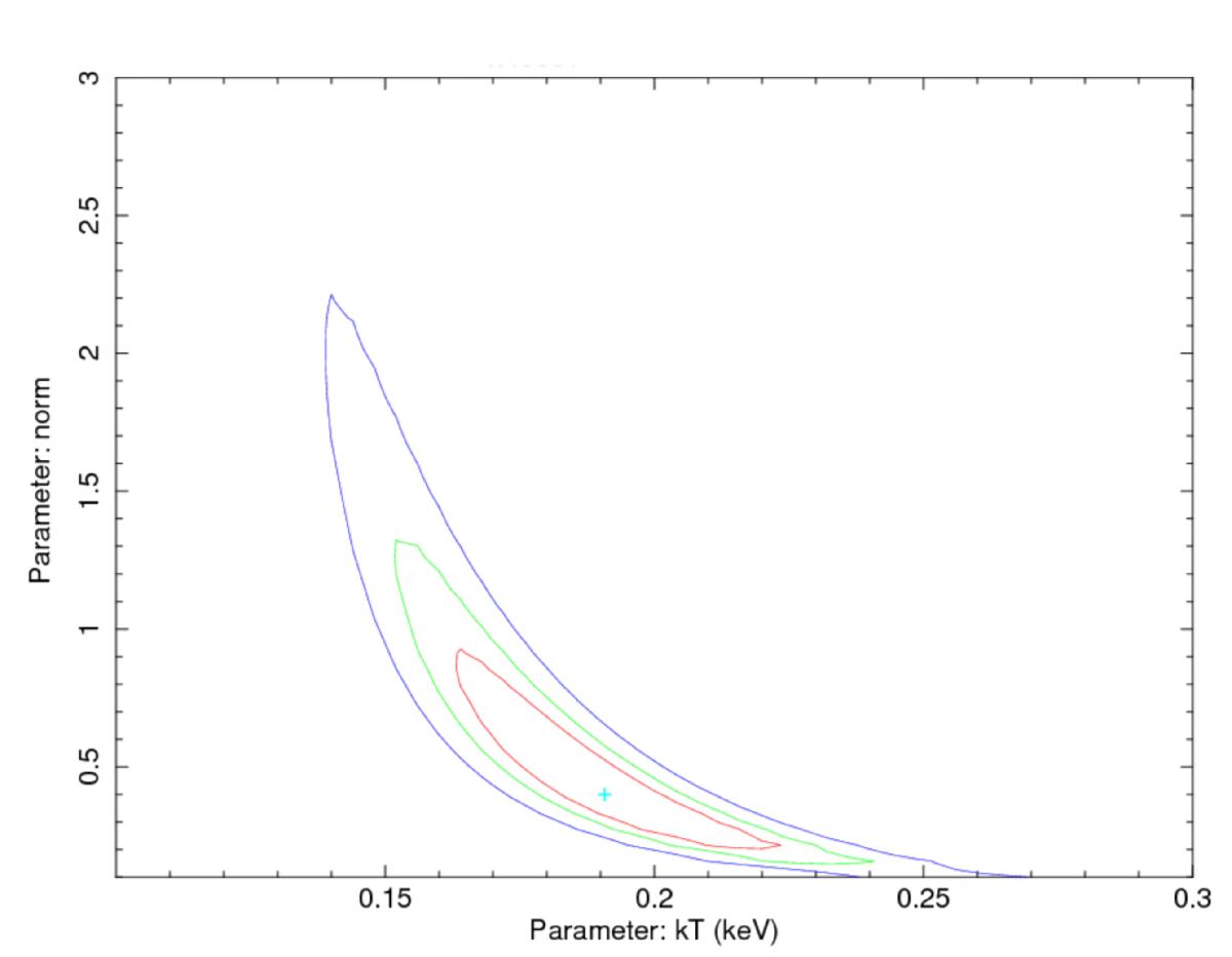
Fig. 2

Contour plot for temperature (units of keV) vs. normalization K. The contours refer to the 68% (red line), 90% (green line) and 99% (blue line) confidence levels. Degeneracy between temperature and normalization is observed, but it is still not sufficient to reconcile the small emitting area with theoretical models of millisecond pulsars.
Current usage metrics show cumulative count of Article Views (full-text article views including HTML views, PDF and ePub downloads, according to the available data) and Abstracts Views on Vision4Press platform.
Data correspond to usage on the plateform after 2015. The current usage metrics is available 48-96 hours after online publication and is updated daily on week days.
Initial download of the metrics may take a while.