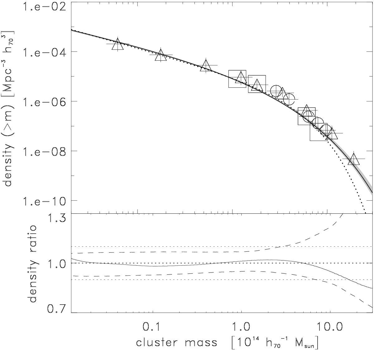
Fig. 5

Upper panel: cumulative cluster mass function for the cosmological model best fitting the REFLEX Survey data and its uncertainties (grey region). The present data are compared to a previous determination of the cumulative mass function of clusters by Bahcall & Cen (1993), shown by data points. The different data points relate to different cluster samples used by Bahcall & Cen: Abell clusters (triangles with error bars), EDCC clusters (squares), and X-ray clusters (circles with error bars). The dotted curve shows the best fitting Schechter function, which falls short of describing the high end of the mass function. Bottom panel: ratio of the fitted function to the true cumulative mass function. We also show the uncertainties of the mass function from the marginalisation not including the varying Hubble parameter (dashed lines). The dotted lines indicate 10% deviations.
Current usage metrics show cumulative count of Article Views (full-text article views including HTML views, PDF and ePub downloads, according to the available data) and Abstracts Views on Vision4Press platform.
Data correspond to usage on the plateform after 2015. The current usage metrics is available 48-96 hours after online publication and is updated daily on week days.
Initial download of the metrics may take a while.