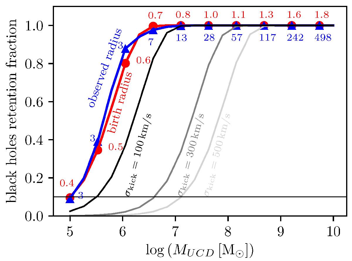
Fig. 2

Retention fraction of dark remnants as a function of system mass if we assume that the main mechanism of dark remnants ejection are SN kicks with a Maxwell-Boltzman kick velocity distribution shown in Fig. 1. We assumed two different mass-radius relations (red and blue curves, as in Fig. 1), radii for each mass being written next to the corresponding points and a normalization described in the text. In black and grey we plot retention fractions if larger kick velocity dispersions are assumed. In this case we use the mass-radius relation from Marks & Kroupa (2012).
Current usage metrics show cumulative count of Article Views (full-text article views including HTML views, PDF and ePub downloads, according to the available data) and Abstracts Views on Vision4Press platform.
Data correspond to usage on the plateform after 2015. The current usage metrics is available 48-96 hours after online publication and is updated daily on week days.
Initial download of the metrics may take a while.