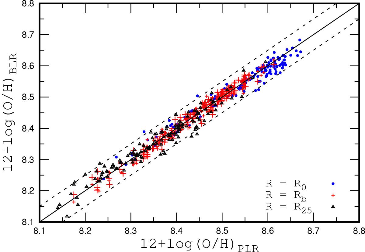
Fig. 7

Comparison between oxygen abundances (O/H)PLR given by the purely linear relation (O/H) – Rg and abundances (O/H)BLR given by the broken linear relation at the galaxy centres (circles), at the break radii (plus signs), and at the optical radii R25 (triangles) of the galaxies. The solid line indicates equal values. The two dashed lines show the ± 0.05 dex deviations from unity.
Current usage metrics show cumulative count of Article Views (full-text article views including HTML views, PDF and ePub downloads, according to the available data) and Abstracts Views on Vision4Press platform.
Data correspond to usage on the plateform after 2015. The current usage metrics is available 48-96 hours after online publication and is updated daily on week days.
Initial download of the metrics may take a while.