Free Access
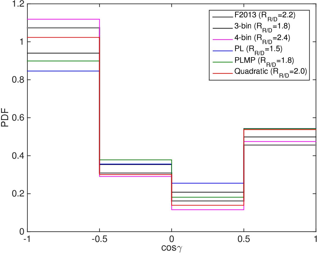
Fig. 14

Comparison between the obliquity distribution presented by Farnocchia et al. (2013a) and the four-bin split of our the best-fit obliquity distributions converted to four bins. In the legend we recall the ratio between retrograde and direct rotators RR/D.
Current usage metrics show cumulative count of Article Views (full-text article views including HTML views, PDF and ePub downloads, according to the available data) and Abstracts Views on Vision4Press platform.
Data correspond to usage on the plateform after 2015. The current usage metrics is available 48-96 hours after online publication and is updated daily on week days.
Initial download of the metrics may take a while.