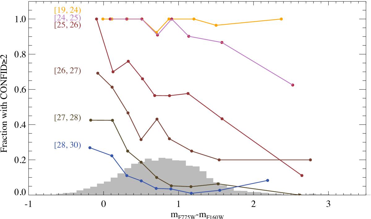
Fig. 1

Spectroscopic completeness as a function of observed F775W−F160W colour in bins of F775W as indicated on the left. We only include galaxies with CONFID ≥ 2. The bins were chosen to span the distribution in colour and the number of objects per bin varies strongly. This can be inferred from the grey-scale histogram which shows the number of objects as a function of colour, summed over all magnitudes down to F775W = 30. A passive galaxy at z> 1.5 typically has F775W−F160W> 2.
Current usage metrics show cumulative count of Article Views (full-text article views including HTML views, PDF and ePub downloads, according to the available data) and Abstracts Views on Vision4Press platform.
Data correspond to usage on the plateform after 2015. The current usage metrics is available 48-96 hours after online publication and is updated daily on week days.
Initial download of the metrics may take a while.