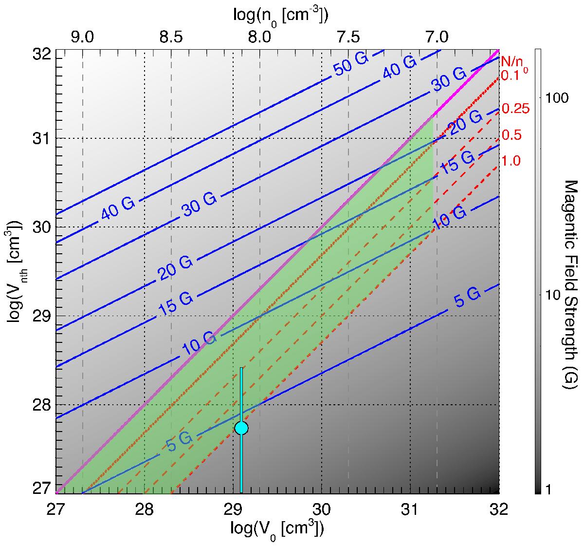
Fig. 10

Parameter space of magnetic field strength as a function of thermal and non-thermal X-ray volumes, with the blue contours indicating specific magnetic field strength. The pink line indicates equal thermal and non-thermal source volumes. The top x-axis indicates n0 values, which depend directly on V0 (via Eq. (4)). The red lines indicate the volumes at which specific ratios of thermal to non-thermal electron densities (N/n0) occur (as indicated). The green shaded area shows the range of magnetic fields possible, given particular constraints on the volumes and ratios of N/n0. The blue circle with the error bar is the magnetic field strength calculated from the numerical model below.
Current usage metrics show cumulative count of Article Views (full-text article views including HTML views, PDF and ePub downloads, according to the available data) and Abstracts Views on Vision4Press platform.
Data correspond to usage on the plateform after 2015. The current usage metrics is available 48-96 hours after online publication and is updated daily on week days.
Initial download of the metrics may take a while.