Free Access
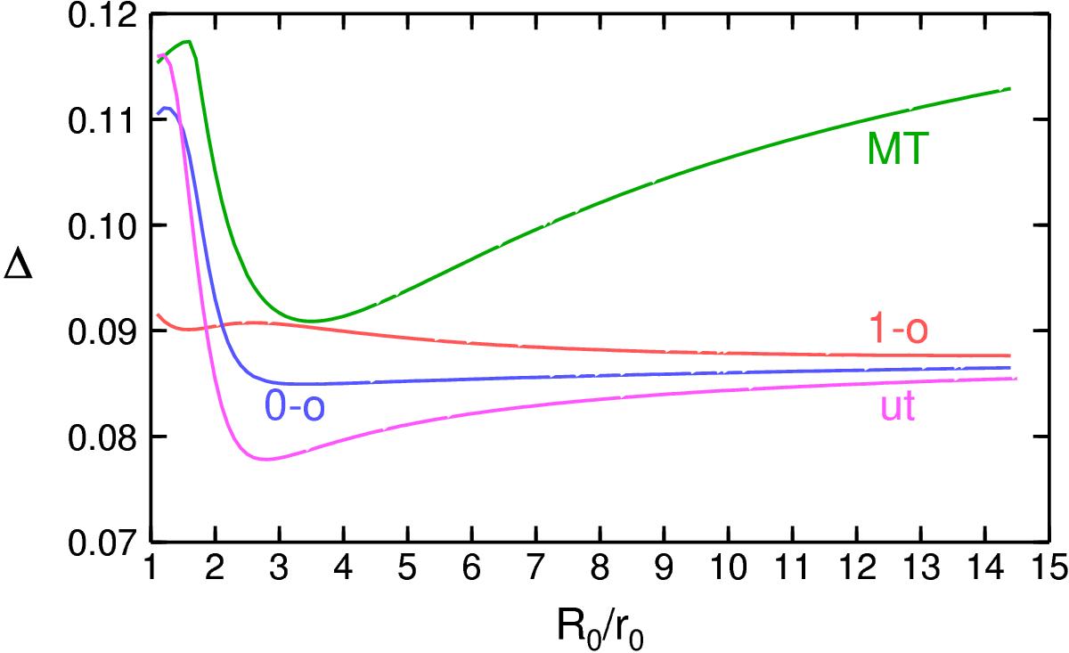
Fig. 11

Δ as a function of the aspect ratio for four magnetic field solutions: the uniform-twist field (ut, magenta), the zero-order solution (0-o, blue), the first-order solution (1-o, red), and the MT field (MT, green). The values of Δ are approximately one half of the ΔB values because the values of ΔV are small, see Eq. (61).
Current usage metrics show cumulative count of Article Views (full-text article views including HTML views, PDF and ePub downloads, according to the available data) and Abstracts Views on Vision4Press platform.
Data correspond to usage on the plateform after 2015. The current usage metrics is available 48-96 hours after online publication and is updated daily on week days.
Initial download of the metrics may take a while.