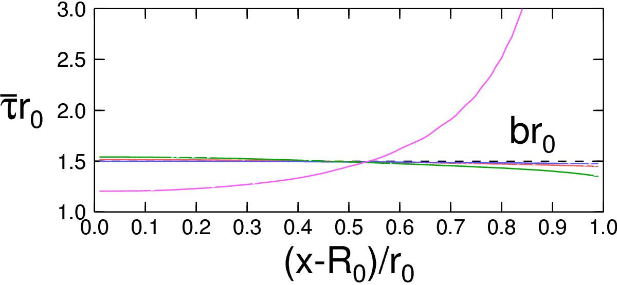
Fig. 8

Twist per unit length (converted into a unit-less quantity
) of magnetic field lines starting at the x-axis inside a toroidal flux rope (x in the plot is the starting point). The red line is for R0/r0 = 5 and the first-order solution, the blue line for R0/r0 = 5 and the zero-order solution, the green line for R0/r0 = 3 and the first-order solution, and the magenta line for R0/r0 = 5 and the MT field. It is br0 = 1.5. This value is shown by the dashed horizontal line. The plot for the uniform-twist flux rope would coincide with this dashed line.
Current usage metrics show cumulative count of Article Views (full-text article views including HTML views, PDF and ePub downloads, according to the available data) and Abstracts Views on Vision4Press platform.
Data correspond to usage on the plateform after 2015. The current usage metrics is available 48-96 hours after online publication and is updated daily on week days.
Initial download of the metrics may take a while.