Free Access
Fig. 10

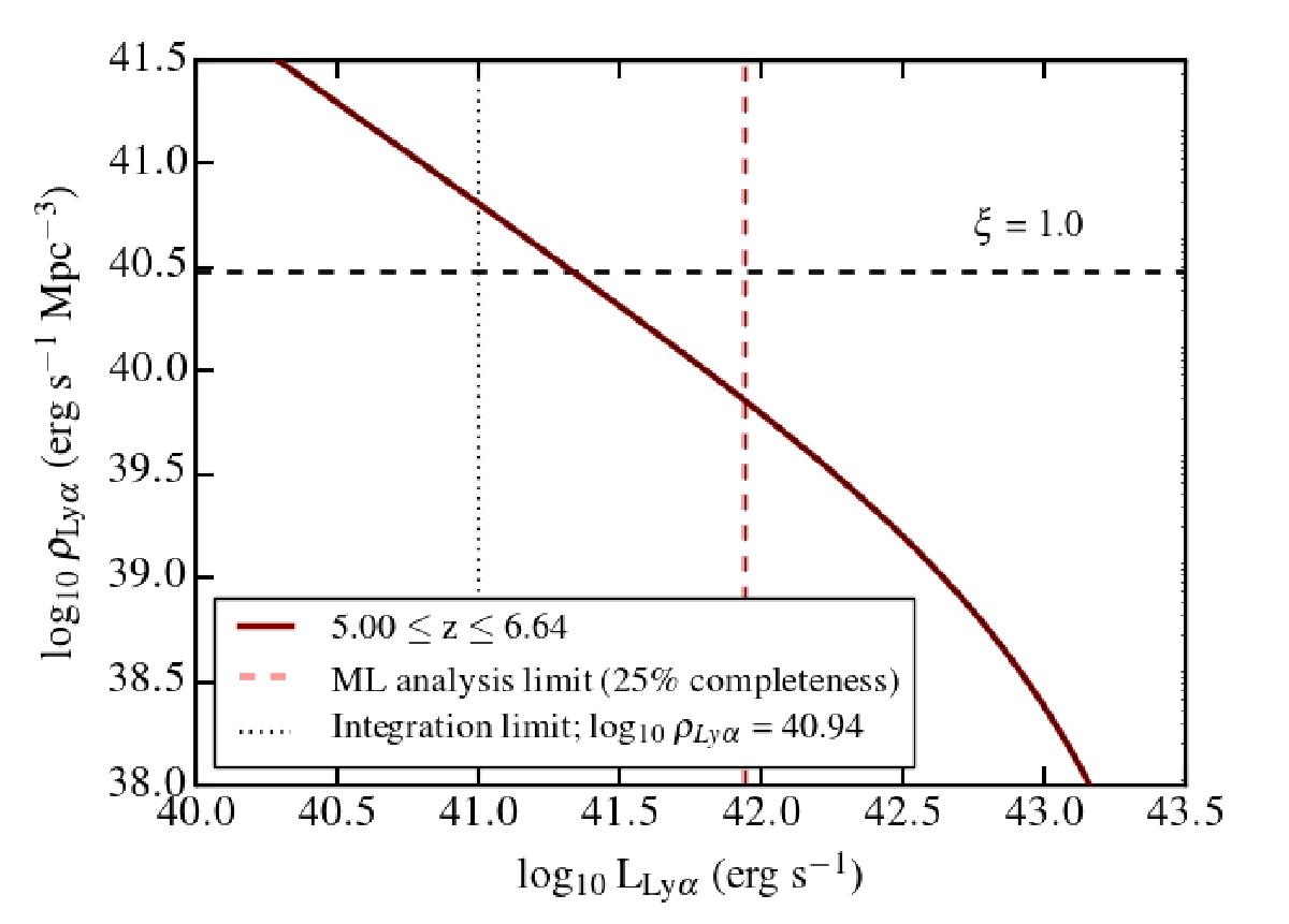
Integrating the maximum likelihood Schechter function at 5.00 ≤ z< 6.64 to log L = 41.0 produces enough ionising radiation to maintain an ionised IGM at z ≈ 6 for the set off assumptions described in the text.
Current usage metrics show cumulative count of Article Views (full-text article views including HTML views, PDF and ePub downloads, according to the available data) and Abstracts Views on Vision4Press platform.
Data correspond to usage on the plateform after 2015. The current usage metrics is available 48-96 hours after online publication and is updated daily on week days.
Initial download of the metrics may take a while.