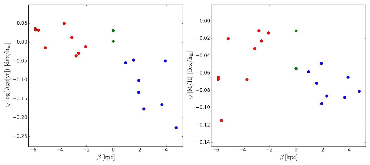
Fig. 5

Stellar age (left-hand panel) and metallicity (right-hand panel) inner gradients as a function of the break strength (β) for the RaDES set of galaxies. The gradients for type-I, II, and III galaxies are indicated in green, blue, and red, respectively. Zeus is again represented by a green diamond (type-I galaxy with signs of ongoing interaction).
Current usage metrics show cumulative count of Article Views (full-text article views including HTML views, PDF and ePub downloads, according to the available data) and Abstracts Views on Vision4Press platform.
Data correspond to usage on the plateform after 2015. The current usage metrics is available 48-96 hours after online publication and is updated daily on week days.
Initial download of the metrics may take a while.