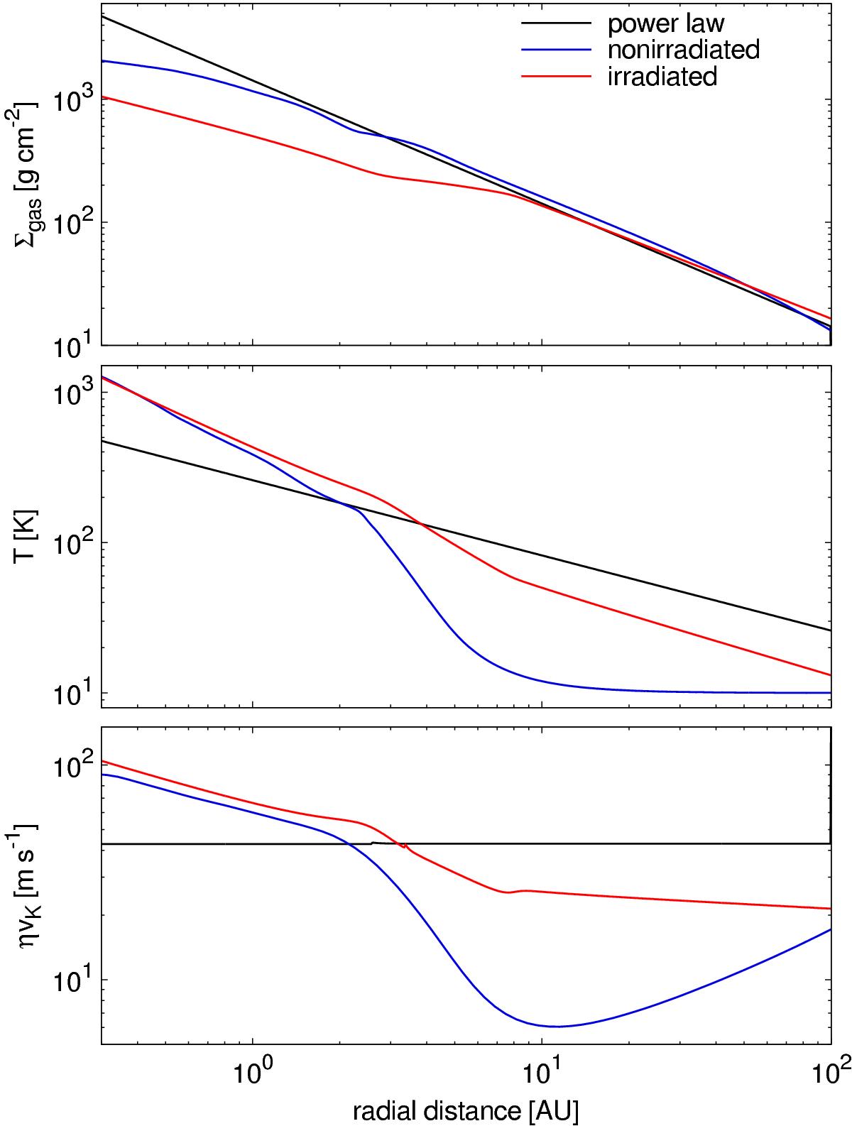
Fig. 1

Comparison of the initial conditions for our protoplanetary disk models: the power-law disk (black), the non-irradiated disk (blue), and the irradiated disk (red). The panels show, from top to bottom, the gas surface density Σgas, the temperature T, and the difference between gas and Keplerian rotation, which is equal to the maximum drift speed of dust pebbles ηvK. Each of the disks has a total mass of 0.1 M⊙.
Current usage metrics show cumulative count of Article Views (full-text article views including HTML views, PDF and ePub downloads, according to the available data) and Abstracts Views on Vision4Press platform.
Data correspond to usage on the plateform after 2015. The current usage metrics is available 48-96 hours after online publication and is updated daily on week days.
Initial download of the metrics may take a while.