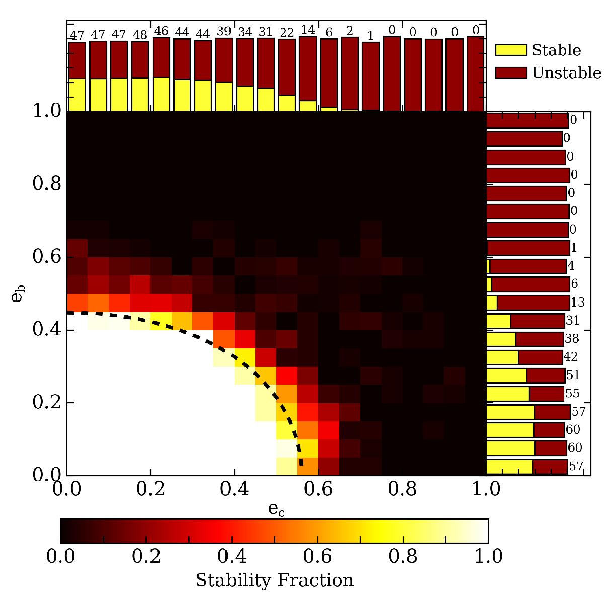
Fig. 8

Smoothed 2D map depicting the fraction of stable systems as a function of each planet’s eccentricity based on a suite of dynamical integrations. The dashed black curve depicts the analytic condition for Hill stability from Gladman (1993) assuming the MAP masses and semi-major axes from Model 1 in Table A.1. 1D histograms depict the number of stable and unstable (yellow and red respectively) systems in eccentricity bins of width 0.05 and marginalized over all other dynamical parameters. The annotated numbers report each bin’s stability fraction in percentages.
Current usage metrics show cumulative count of Article Views (full-text article views including HTML views, PDF and ePub downloads, according to the available data) and Abstracts Views on Vision4Press platform.
Data correspond to usage on the plateform after 2015. The current usage metrics is available 48-96 hours after online publication and is updated daily on week days.
Initial download of the metrics may take a while.