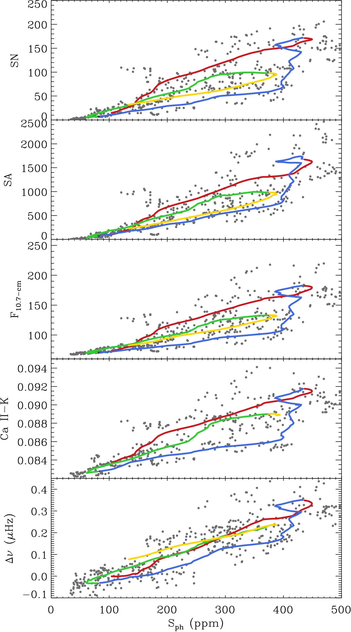
Fig. 4

Standard proxies of solar activity as a function of the photospheric magnetic proxy of the Sun, Sph,GREEN (in ppm), measured from the VIRGO/SPM GREEN channel observations. From top to bottom, the y-axis represents the sunspot number, sunspot area, 10.7-cm radio flux, Ca ii K emission, and mean frequency shifts of the l = 0,1, and 2 acoustic oscillations. Individual measurements are shown in gray dots and the solid lines represent a smooth over 2.5 yr to remove short-term variations for illustrative purpose. The different colors correspond to different phases in solar activity; in red and BLUE, the rising and declining phases of Cycle 23, respectively; in GREEN and yellow, the rising and declining phases of Cycle 24, respectively, are shown.
Current usage metrics show cumulative count of Article Views (full-text article views including HTML views, PDF and ePub downloads, according to the available data) and Abstracts Views on Vision4Press platform.
Data correspond to usage on the plateform after 2015. The current usage metrics is available 48-96 hours after online publication and is updated daily on week days.
Initial download of the metrics may take a while.