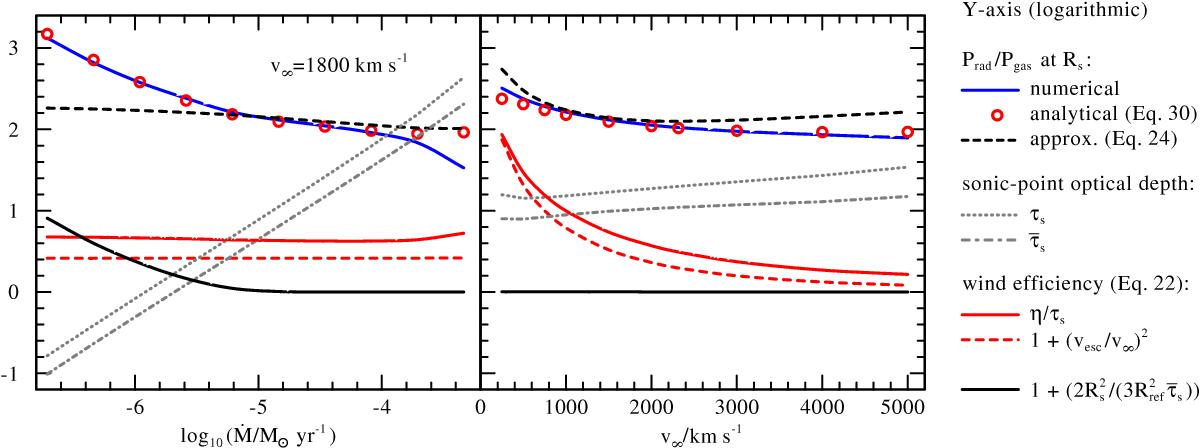
Fig. 4

Sonic-point ratio of Prad/Pgas. Different contributions to the ratio of Prad/Pgas at the sonic point, as imposed by the outer wind, are indicated on a logarithmic scale. The left panel shows the same sequence of wind models as in Fig. 3, i.e., models with a fixed terminal wind velocity of ν∞ = 1800 km s-1 as a function of the adopted mass-loss rate Ṁ. The right panel shows the same model sequence as in Fig. 5, i.e., models for which Ṁ is derived consistently with the critical condition (Eq. (3)) as a function of ν∞. We plot the ratio of Prad/Pgas that follows from our numerical models (solid blue line), from the approximate relation Eq. (25) (black dashed line), and Eq. (31) (red circles). The grey dotted and dash-dotted lines indicate the (weighted) sonic-point optical depths τs and respectively. The red solid line indicates the ratio τs/η, and the red dashed line the factor
. The black solid line indicates the offset factor
in Eq. (31).
Current usage metrics show cumulative count of Article Views (full-text article views including HTML views, PDF and ePub downloads, according to the available data) and Abstracts Views on Vision4Press platform.
Data correspond to usage on the plateform after 2015. The current usage metrics is available 48-96 hours after online publication and is updated daily on week days.
Initial download of the metrics may take a while.