Free Access

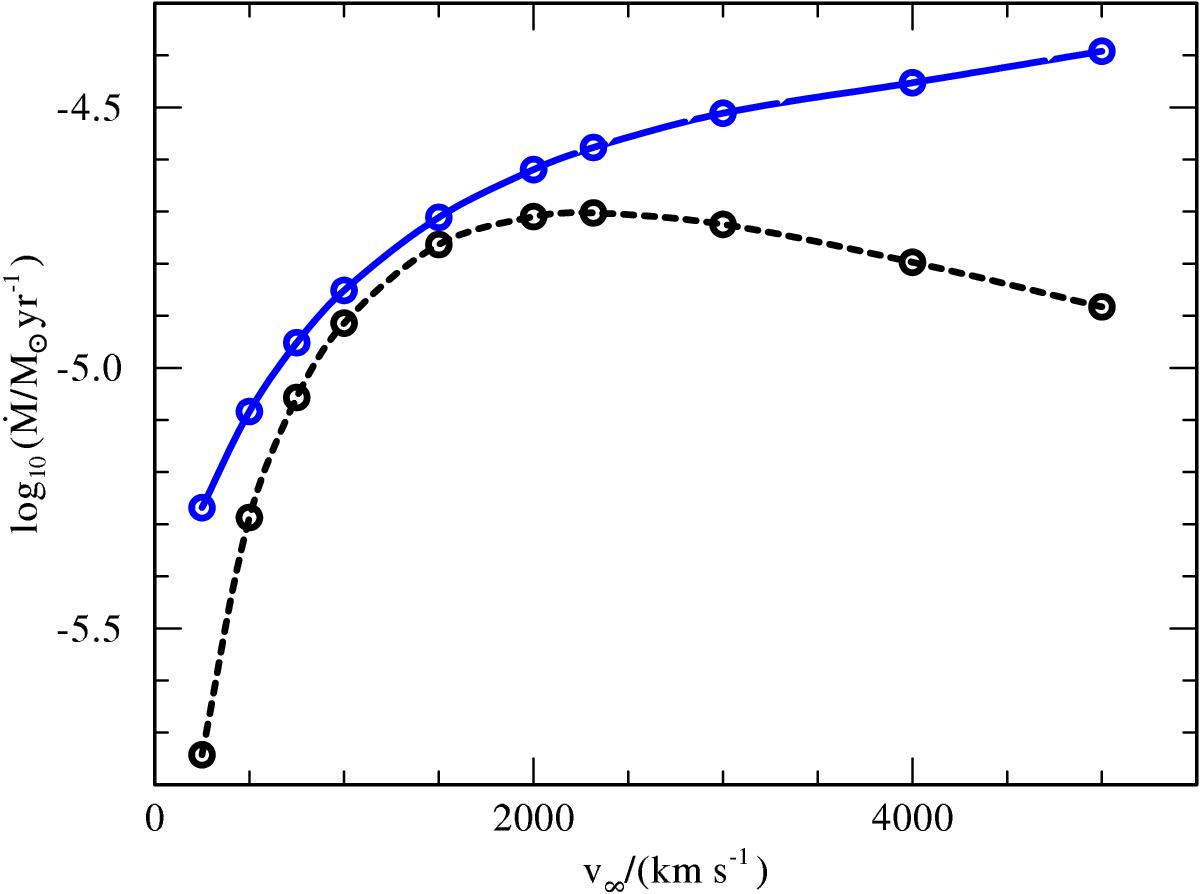
Fig. 5

image

Mass-loss predictions. The derived mass-loss rates for a 20 M He star are indicated as a function of the adopted terminal wind velocity ν. The solid blue curve indicates numerical wind models (cf. Sect. 2.2.3) and the dashed curve our approximate estimates (Sect. 2.2.1).

Current usage metrics show cumulative count of Article Views (full-text article views including HTML views, PDF and ePub downloads, according to the available data) and Abstracts Views on Vision4Press platform.

Data correspond to usage on the plateform after 2015. The current usage metrics is available 48-96 hours after online publication and is updated daily on week days.

Initial download of the metrics may take a while.