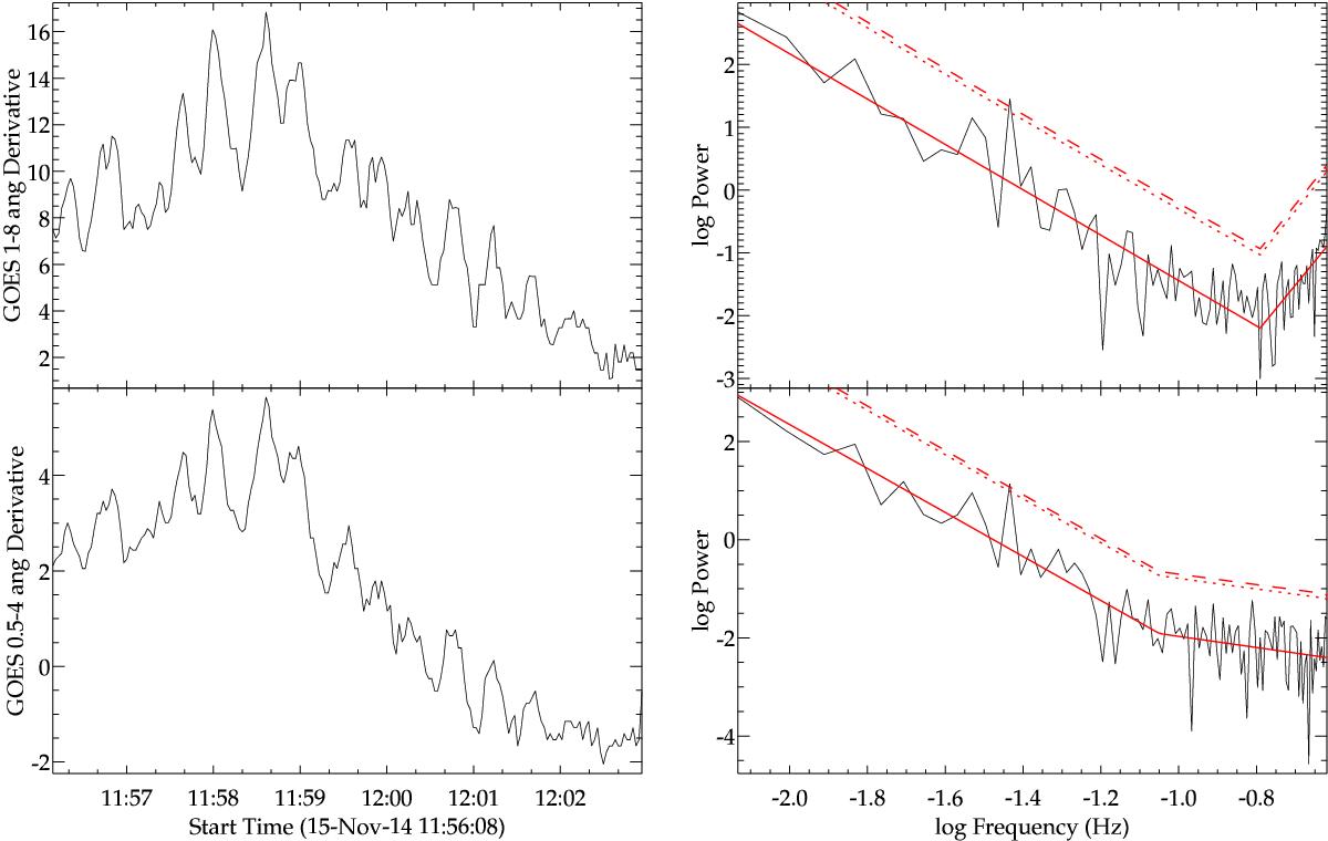
Fig. 2

Left: time derivatives of a section of flare 152 observed by GOES/XRS. The top panel shows the 1–8 Å emission and the bottom panel the 0.5–4 Å emission. Right: the corresponding power spectra, where the red solid lines are broken power law fits to the spectra, the red dotted lines represent the 95% confidence levels, and the red dashed lines the 99% levels. One peak in each is above the 99% level, at a period of 27.2 ± 0.9 s.
Current usage metrics show cumulative count of Article Views (full-text article views including HTML views, PDF and ePub downloads, according to the available data) and Abstracts Views on Vision4Press platform.
Data correspond to usage on the plateform after 2015. The current usage metrics is available 48-96 hours after online publication and is updated daily on week days.
Initial download of the metrics may take a while.