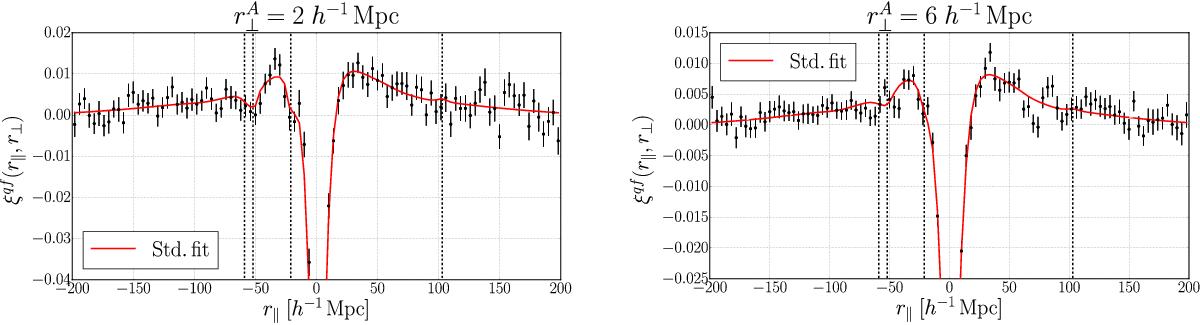
Fig. 7

Correlation function for two ranges of . The data are the black points and the red curves give the standard fit (over the range 10 <r< 160h-1 Mpc) used to measure the BAO parameters. These slices of constant
demonstrate the impact of metal transitions on the data. The four vertical dashed lines give the position of the four peaks of the metal-quasar correlations of Table 3: r∥ ≈ −60 h-1 Mpc (SiII(119.3) and SiII(119.0)); r∥ = −21 h-1 Mpc (SiIII(120.7)); and r∥ ≈ + 103 h-1 Mpc (SiII(126.0)).
Current usage metrics show cumulative count of Article Views (full-text article views including HTML views, PDF and ePub downloads, according to the available data) and Abstracts Views on Vision4Press platform.
Data correspond to usage on the plateform after 2015. The current usage metrics is available 48-96 hours after online publication and is updated daily on week days.
Initial download of the metrics may take a while.