Free Access
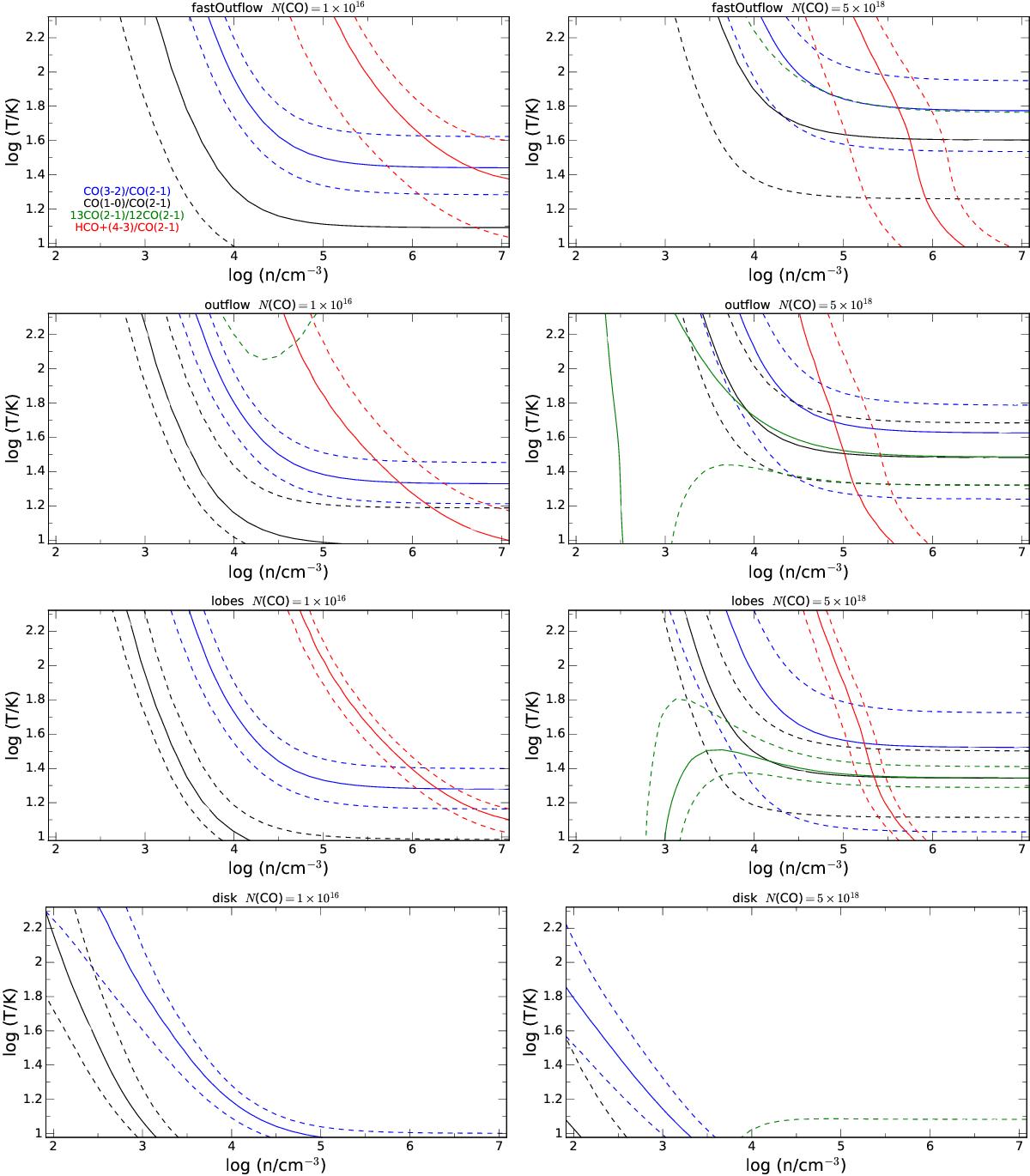
Fig. 12

RADEX models for the four regions (see Fig. 11). The constraints on nH2 and Tkin from the various line ratios are indicated (solid lines) and their 3σ errors (dashed lines) for N(12CO) = 1 × 1016 cm-2 (left column) and for N(12CO) = 5 × 1018 cm-2 (right column).
This figure is made of several images, please see below:
Current usage metrics show cumulative count of Article Views (full-text article views including HTML views, PDF and ePub downloads, according to the available data) and Abstracts Views on Vision4Press platform.
Data correspond to usage on the plateform after 2015. The current usage metrics is available 48-96 hours after online publication and is updated daily on week days.
Initial download of the metrics may take a while.