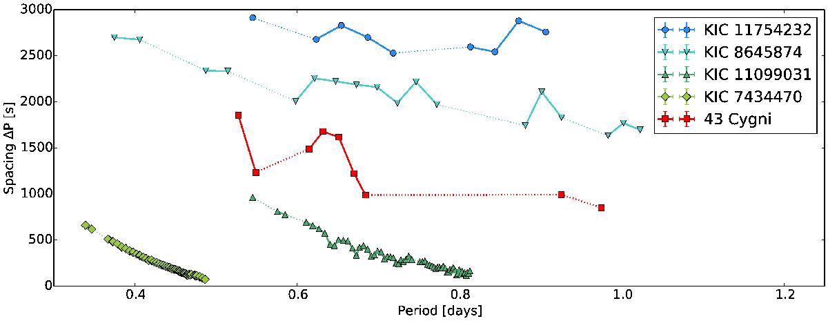
Fig. 6

Comparison of the period-spacing pattern of 43 Cyg with a selection of period-spacing patterns detected for γ Dor stars observed with the Kepler space mission. The non-uniform variations of the period-spacings of 43 Cyg, caused by chemical gradients in the stellar interior, are clearly visible. The tilt in the pattern, caused by the stellar rotation, follows the trend established by the other observations.
Current usage metrics show cumulative count of Article Views (full-text article views including HTML views, PDF and ePub downloads, according to the available data) and Abstracts Views on Vision4Press platform.
Data correspond to usage on the plateform after 2015. The current usage metrics is available 48-96 hours after online publication and is updated daily on week days.
Initial download of the metrics may take a while.