Free Access
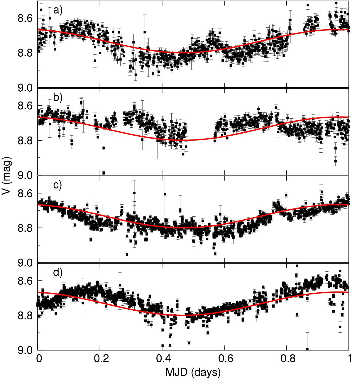
Fig. 7

R71 V-band magnitude (black squares) folded in phase space with a cycle of 425 d. A sinusoidal curve with a period of 425 d is shown in red. Cycle a) corresponds to MJD 57 417–57 844, cycle b) to MJD 56 990–57 417, cycle c) to MJD 56 564–56 990, and cycle d) to MJD 56 135–56 564.
Current usage metrics show cumulative count of Article Views (full-text article views including HTML views, PDF and ePub downloads, according to the available data) and Abstracts Views on Vision4Press platform.
Data correspond to usage on the plateform after 2015. The current usage metrics is available 48-96 hours after online publication and is updated daily on week days.
Initial download of the metrics may take a while.