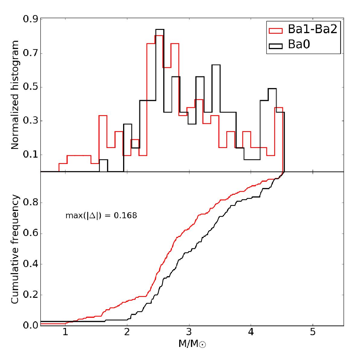
Fig. 13

Comparison of the mass distributions for 164 mild (Ba1 −Ba2) and 110 very mild (Ba0) barium stars (red and black curves, respectively) computed using evolutionary tracks with [Fe/H] = −0.25. Very mild barium stars are defined as having a Ba index smaller than 1 in the catalogue of Lü (1991). Upper panel: normalized histograms are shown. Lower panel: cumulative frequency distributions are shown with the maximum absolute difference between these distributions amounting to 0.168, corresponding to a first-kind error of 13% when rejecting the null hypothesis of identical distributions in a Kolmogorov-Smirnov test with an effective sample size of 48.2 [= 164 × 110/(164 + 110)].
Current usage metrics show cumulative count of Article Views (full-text article views including HTML views, PDF and ePub downloads, according to the available data) and Abstracts Views on Vision4Press platform.
Data correspond to usage on the plateform after 2015. The current usage metrics is available 48-96 hours after online publication and is updated daily on week days.
Initial download of the metrics may take a while.