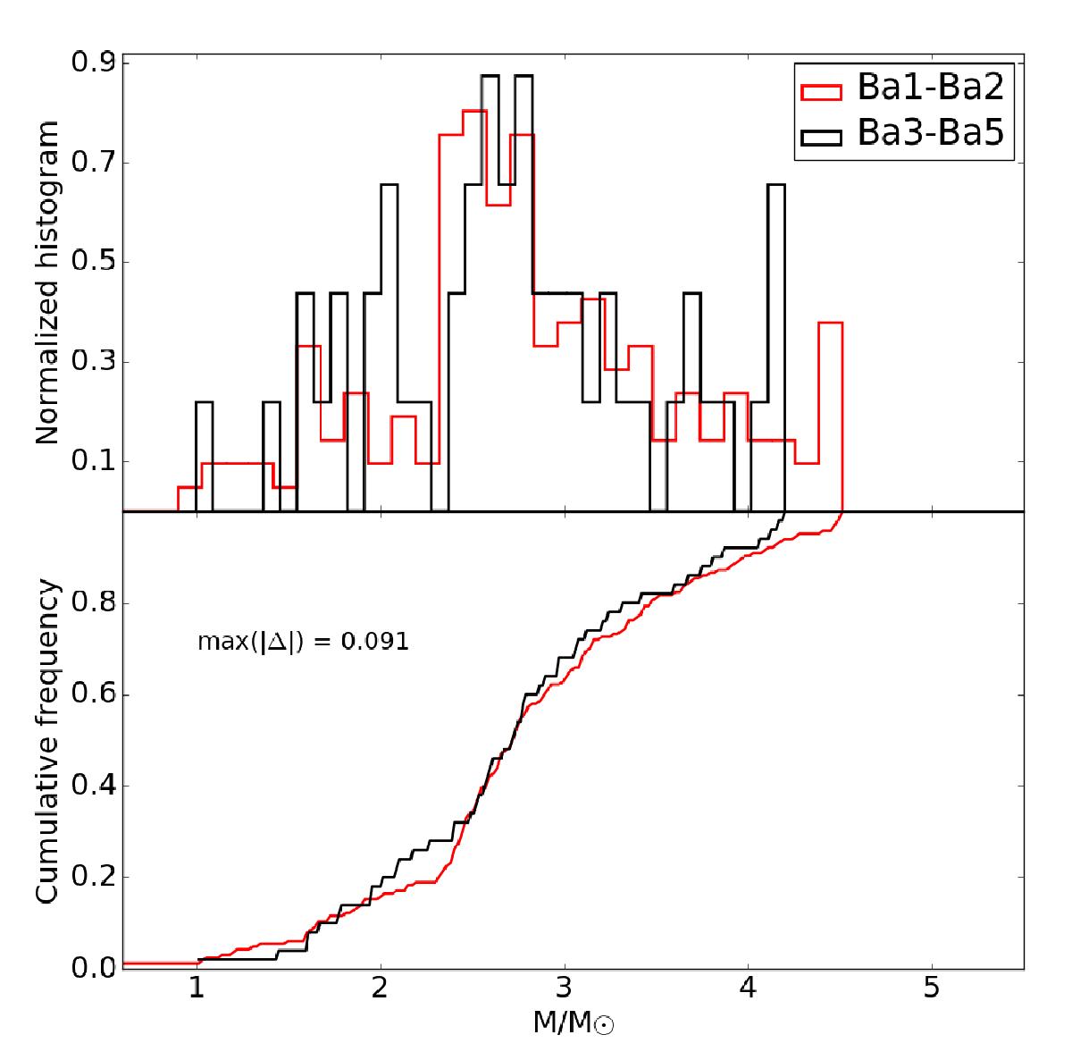
Fig. 14

Comparison of the mass distributions for mild and strong barium stars (red and black curves, respectively) computed from evolutionary tracks for [Fe/H] = −0.25. Upper panel: normalized histograms are shown. Lower panel: cumulative frequency distributions with the maximum absolute difference between them amounting to 0.091.
Current usage metrics show cumulative count of Article Views (full-text article views including HTML views, PDF and ePub downloads, according to the available data) and Abstracts Views on Vision4Press platform.
Data correspond to usage on the plateform after 2015. The current usage metrics is available 48-96 hours after online publication and is updated daily on week days.
Initial download of the metrics may take a while.