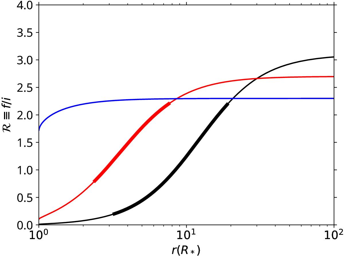
Fig. 13

Predicted R = f/i ratio as a function of radius (expressed in multiples of stellar radius) for Ne ix (black), Mg xi (red), and Si xiii (blue) for a B star with similar parameters to HDE 77581. The thickened portions of the Ne ix and Mg xi curves show the 90% confidence interval for measured values of R and thus for the radius.
Current usage metrics show cumulative count of Article Views (full-text article views including HTML views, PDF and ePub downloads, according to the available data) and Abstracts Views on Vision4Press platform.
Data correspond to usage on the plateform after 2015. The current usage metrics is available 48-96 hours after online publication and is updated daily on week days.
Initial download of the metrics may take a while.