Free Access

Fig. 7

image

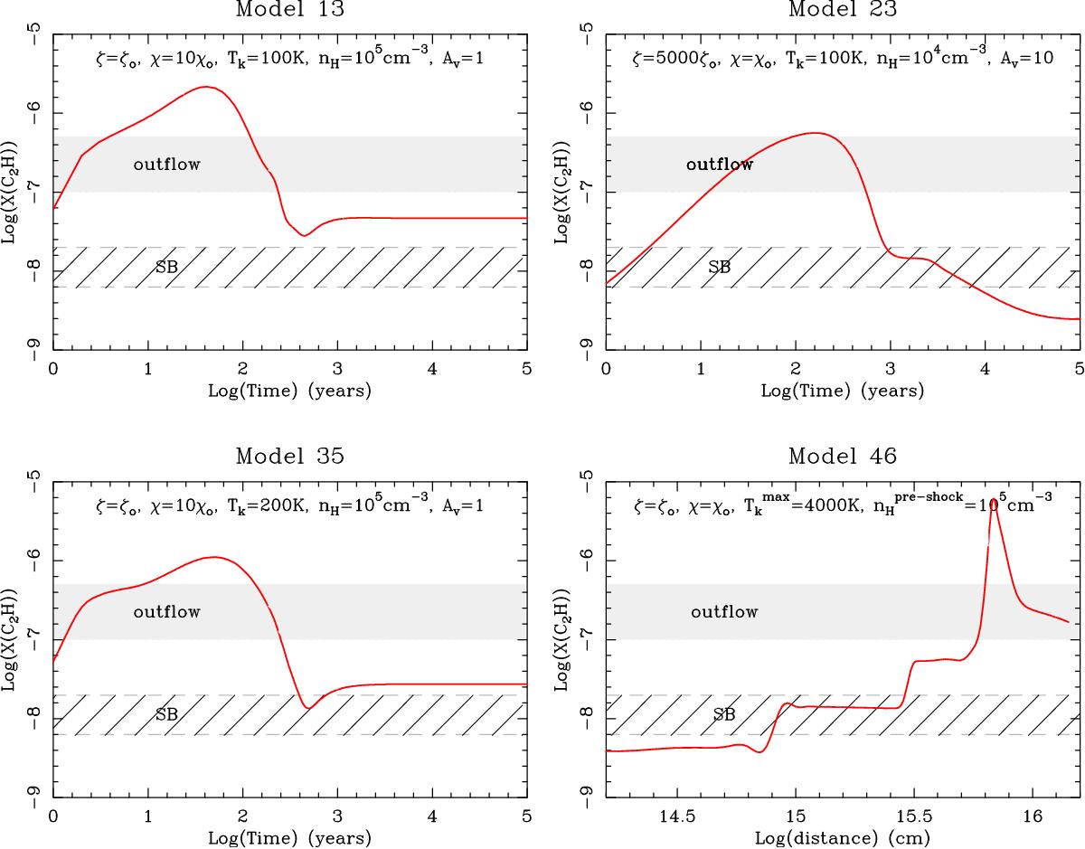
Fractional abundance of C2H for a representative set of chemical models discussed in Sect. 4 that account for the measured abundances of ethynyl in the SB ring and the outflow region of NGC 1068. The C2H abundance is represented as a function of time for gas-grain chemical models (UCL_CHEM) number 13, 23, and 35, and as a function of distance for shock model number 46. This scale corresponds to the distance that the shock travels up to the dissipation length, which is the length scale over which the shock dissipates, beyond which the model is no longer applicable (see Jiménez-Serra et al. 2008). The main parameters of the models, extensively described in Sect. 4 and listed in Tables 46, are indicated in each panel. We highlight the range of C2H abundances measured in the SB ring (a few 10-8 for Tex ≃ 10 K) and in the outflow region (a few 10-7 for Tex ≃ 25−50 K).

Current usage metrics show cumulative count of Article Views (full-text article views including HTML views, PDF and ePub downloads, according to the available data) and Abstracts Views on Vision4Press platform.

Data correspond to usage on the plateform after 2015. The current usage metrics is available 48-96 hours after online publication and is updated daily on week days.

Initial download of the metrics may take a while.