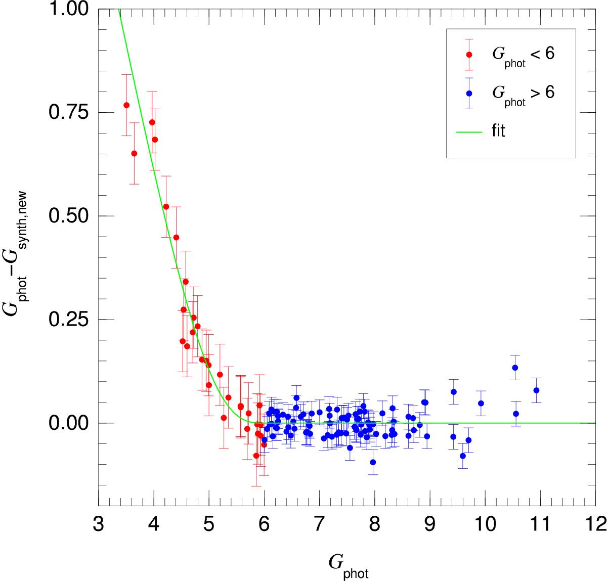
Fig. 4

Difference between the observed DR1 and the synthetic magnitudes for the extended NGSL+CALSPEC sample in this paper as a function of the observed G using the corrected G passband curve and the new zero point of 0.070 mag. Blue points are used for unsaturated objects (G> 6) and red for saturated/near-saturated ones (G< 6). The green line shows the fit that can be used to correct for saturation in DR1 G magnitudes. The size of the blue error bars corresponds to the typical uncertainty of an unsaturated star (0.030 mag, Fig. 2) while the red error bars correspond to the typical uncertainty of a saturated star, as determined from the standard deviation of the difference between the red points and the green fit (0.074 mag).
Current usage metrics show cumulative count of Article Views (full-text article views including HTML views, PDF and ePub downloads, according to the available data) and Abstracts Views on Vision4Press platform.
Data correspond to usage on the plateform after 2015. The current usage metrics is available 48-96 hours after online publication and is updated daily on week days.
Initial download of the metrics may take a while.