Free Access
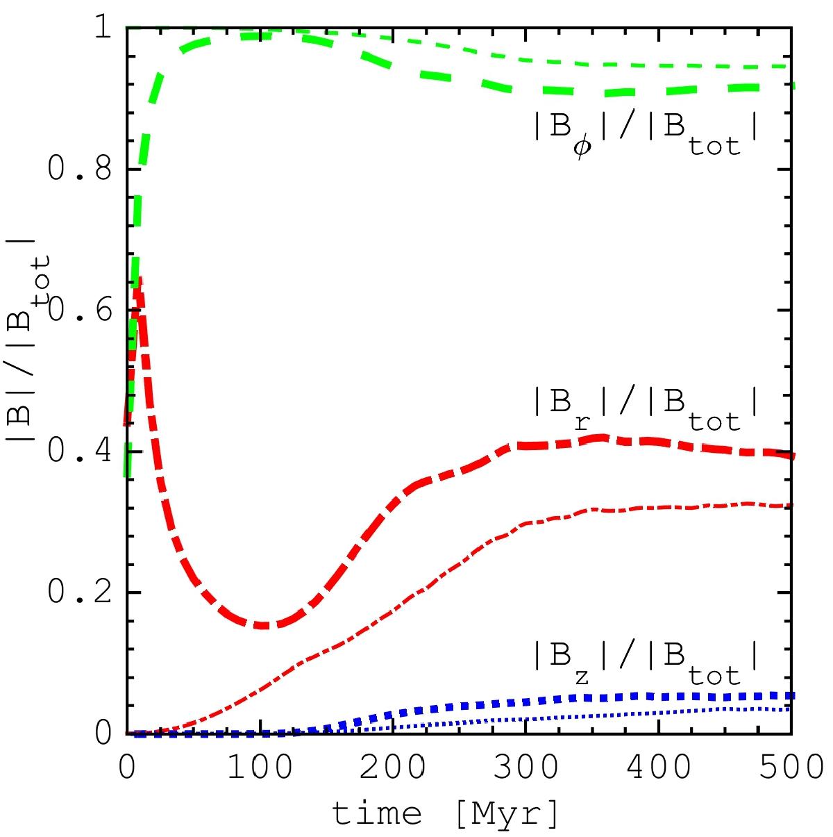
Fig. 14

Evolution of the magnetic field components as a fraction of the total field is shown versus time for model with the initial turbulent magnetic field (thick lines). For reference thin lines represent the same quantities evolution in our fiducial model. Total field strength is defined as .
Current usage metrics show cumulative count of Article Views (full-text article views including HTML views, PDF and ePub downloads, according to the available data) and Abstracts Views on Vision4Press platform.
Data correspond to usage on the plateform after 2015. The current usage metrics is available 48-96 hours after online publication and is updated daily on week days.
Initial download of the metrics may take a while.