Free Access
Fig. 15

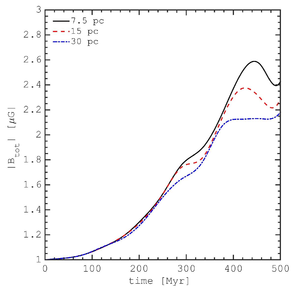
Time evolution of the mean value of the total magnetic field strength (| Btot |) for simulations with different spatial resolution: 7.5 pc (solid black line), 15 pc (fiducial model, dashed red line) and 30 pc (blue dash-dotted line). The evolution is shown for central region <1 kpc.
Current usage metrics show cumulative count of Article Views (full-text article views including HTML views, PDF and ePub downloads, according to the available data) and Abstracts Views on Vision4Press platform.
Data correspond to usage on the plateform after 2015. The current usage metrics is available 48-96 hours after online publication and is updated daily on week days.
Initial download of the metrics may take a while.