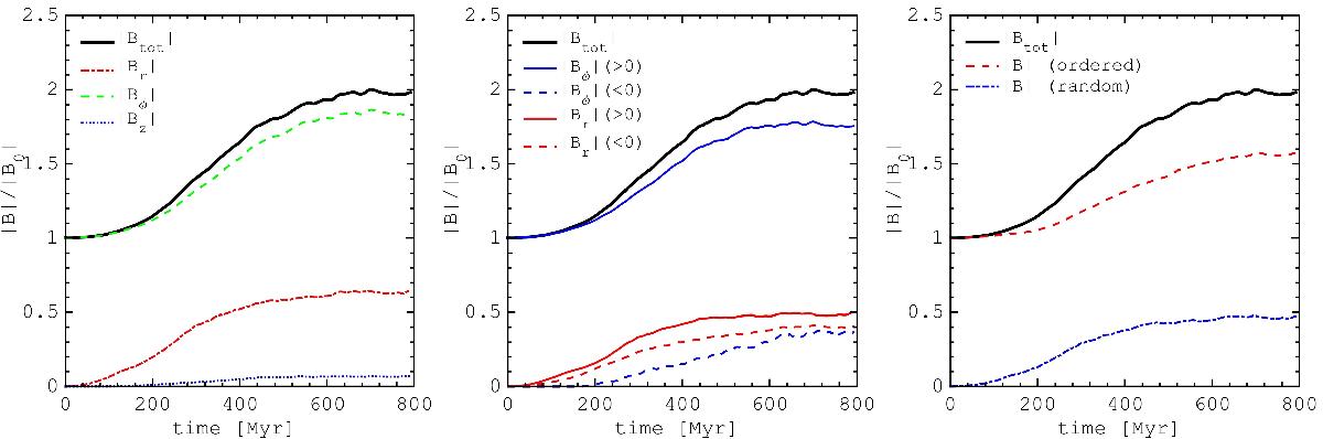
Fig. 7

Evolution of the magnetic field components. In all frames black line shows the total disk-averaged | B | value evolution. In the left frame evolution of | Br |, | Bφ |, and | Bz | is shown. In the center we show modules of the positive and negative components of azimuthal and radial magnetic field. In the right, we show ordered and random magnetic field components.
Current usage metrics show cumulative count of Article Views (full-text article views including HTML views, PDF and ePub downloads, according to the available data) and Abstracts Views on Vision4Press platform.
Data correspond to usage on the plateform after 2015. The current usage metrics is available 48-96 hours after online publication and is updated daily on week days.
Initial download of the metrics may take a while.